2023年各省市公费师范生录取分数线已经公布,公费师范生一般多少分?很多同学想知道提前批免费师范生录取分数是多少,公费师范生哪个学校分数低?小编根据各师范大学的公费师范生招生情况整理了2023国家免费师范生分数线,供参考。

一、提前批公费师范生录取分数线是多少?
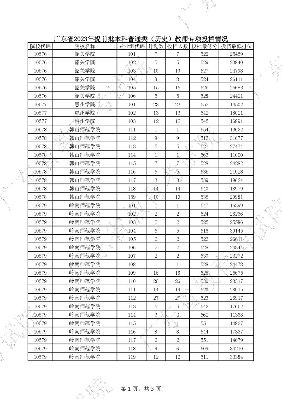
广东物理类考生最低需要523分才能报考公费师范生,2023年提前批公费师范生录取分数线范围为523分-606分,位次在22854-109134名之间。广东历史类考生录取分数线范围为502-576分;
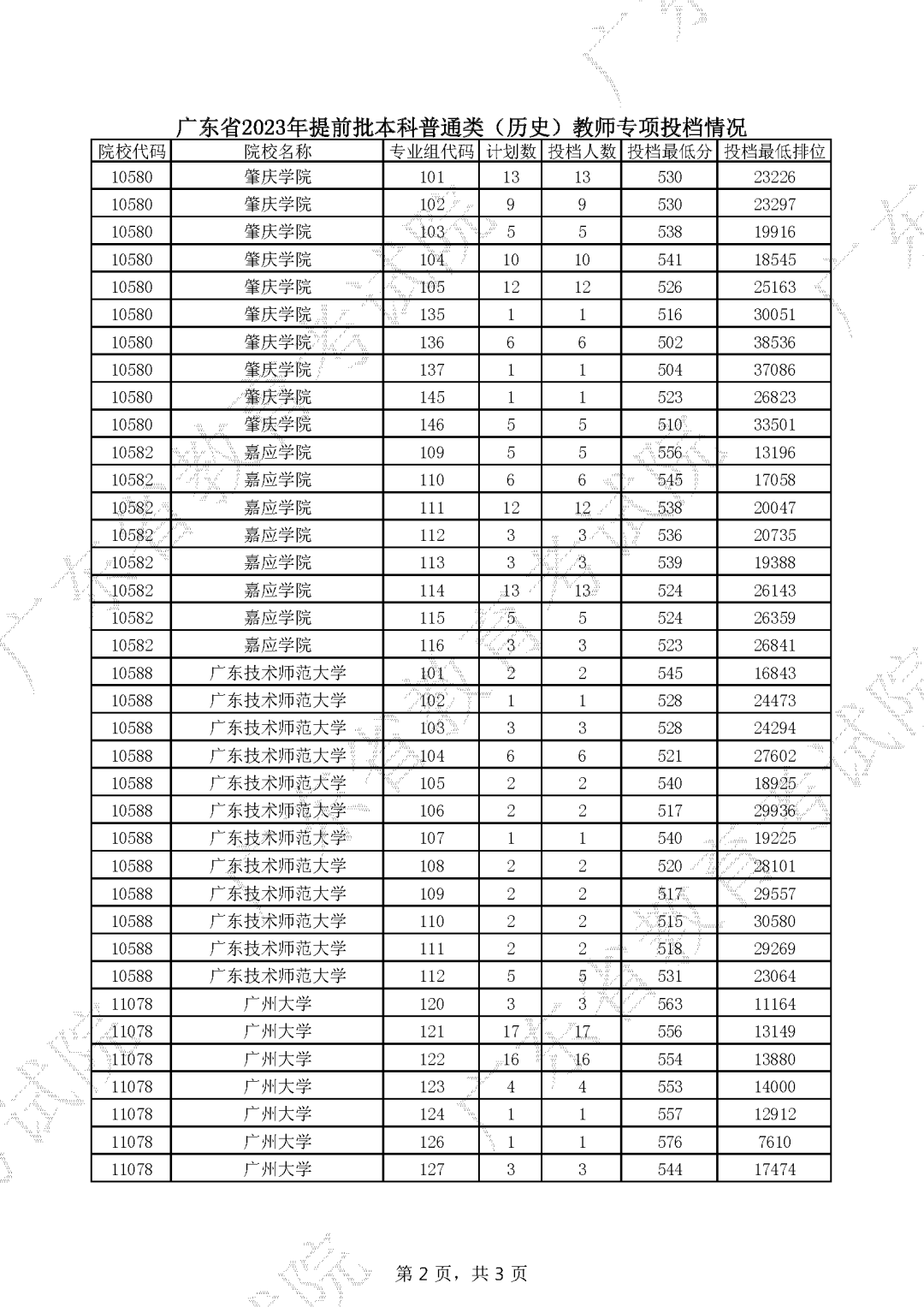
2023年在广东提前批招收公费师范生的院校有韶关学院、惠州学院、韩山师范学院、岭南师范学院、肇庆学院、嘉应学院、广东技术师范大学、广州大学、广东第二师范学院、华南师范大学等院校,接下来就给同学们分析广东2023年地方公费师范生录取分数线,一起来看看多少分才能上广东提前批省属师范大学吧!
1、广东物理类
广东本省属公费师范院校2023年在省内招收理科(首选物理)的考生时,分数线排名最靠前的是华南师范大学(汕尾校区),119专业组录取分数线为606分,对应录取位次22854名;
2023年提前批次中,其他提前批免费师范类学校录取分数线排名分别如下:
1、广州大学(101专业组),录取分数589分;
2、广州第二师范学院(101专业组)录取分数535分;
3、嘉应学院(104专业组),录取分数556分;


2、广东历史类
2023年在广东历史类收分最高的公费师范生院校是广州大学,126专业组录取分数线为576分,录取位次7610名;其他提前批公费师范生院校录取分数线为肇庆学院(101专业组),录取分数530分;广东技术师范大学(108专业组)录取分数520分;韶关学院(105专业组)录取分数525分;



二、2023年6所部属公费师范大学分数线
很多同学还不知道国家公费师范生招生院校有哪些,6所公费师范生院校指的是由教育部直属的师范大学,北京师范大学、华东师范大学、华中师范大学、东北师范大学、陕西师范大学以及位于重庆的西南大学,每年都会在各省市提前批招收国家公费师范生。下文为大家整理了2023年6所部属公费师范大学在各省市提前批录取分数线,供参考:
1、河北2023年部属公费师范生录取分数线
2023年部属师范大学之一的东北师范大学在河北历史类招收公费师范生专业共有4个,包括思想政治教育专业,其分数线是619分;小学教育专业,分数线为612分;汉语言文学专业,分数线为624分,历史学专业,分数线为619分;华中师范大学在河北历史类招收公费师范生录取分数线为:思想政治教育619分、汉语言文学625分、英语623分、历史学624分、历史学624分、地理科学620分;
其他部属公费师范生2023年在河北历史类录取分数线分别如下:
| 2023年河北历史类部属公费师范生录取分数 | |||
|---|---|---|---|
| 院校名称 | 科目 | 专业 | 录取分数 |
| 陕西师范大学 | 历史 | 思想政治教育 | 616 |
| 陕西师范大学 | 历史 | 汉语言文学 | 619 |
| 陕西师范大学 | 历史 | 英语 | 618 |
| 陕西师范大学 | 历史 | 历史学 | 619 |
| 西南大学 | 历史 | 思想政治教育 | 620 |
| 西南大学 | 历史 | 汉语言文学 | 618 |
| 西南大学 | 历史 | 英语 | 617 |
| 西南大学 | 历史 | 历史学 | 616 |
| 西南大学 | 历史 | 地理科学 | 616 |
2023年在河北物理类录取分数线最低的部属公费师范生院校是东北师范大学,地理科学专业投档录取分数618分;录取分数线最高的部属公费师范生院校是华中师范大学,数学与应用数学专业投档录取分数637分;
其他部属公费师范生院校在河北物理类录取分数线为:
西南大学的思想政治教育专业投档录取分数622分、英语专业投档录取分数624分、数学与应用数学627分;陕西师范大学的物理学投档录取分数625分、化学623分、地理科学620分、生物科学626分;
| 2023年河北物理类部属公费师范生录取分数 | |||
| 院校名称 | 科目 | 专业 | 录取分数 |
| 东北师范大学 | 物理 | 小学教育 | 619 |
| 东北师范大学 | 物理 | 英语 | 623 |
| 东北师范大学 | 物理 | 数学与应用数学 | 635 |
| 东北师范大学 | 物理 | 物理学 | 624 |
| 东北师范大学 | 物理 | 化学 | 621 |
| 东北师范大学 | 物理 | 地理科学 | 618 |
| 东北师范大学 | 物理 | 生物科学 | 621 |
| 华中师范大学 | 物理 | 英语 | 634 |
| 华中师范大学 | 物理 | 数学与应用数学 | 637 |
| 华中师范大学 | 物理 | 物理学 | 634 |
| 华中师范大学 | 物理 | 化学 | 636 |
| 华中师范大学 | 物理 | 地理科学 | 630 |
| 华中师范大学 | 物理 | 生物科学 | 629 |
| 陕西师范大学 | 物理 | 数学与应用数学 | 630 |
| 陕西师范大学 | 物理 | 物理学 | 625 |
| 陕西师范大学 | 物理 | 化学 | 623 |
| 陕西师范大学 | 物理 | 地理科学 | 620 |
| 陕西师范大学 | 物理 | 生物科学 | 626 |
| 陕西师范大学 | 物理 | 计算机科学与技术 | 623 |
| 西南大学 | 物理 | 思想政治教育 | 622 |
| 西南大学 | 物理 | 英语 | 624 |
| 西南大学 | 物理 | 数学与应用数学 | 627 |
| 西南大学 | 物理 | 物理学 | 624 |
| 西南大学 | 物理 | 化学 | 622 |
| 西南大学 | 物理 | 生物科学 | 626 |
2、江西2023年部属公费师范生录取分数线
2023年在江西文科收分最高的部属师范大学是华东师范大学,最低录取分数线为625分,录取位次404名;而根据全国部属师范大学在江西文科录取分数线来看,最低需要2567名才能考上部属公费师范大学,收分最低的院校为陕西师范大学和北京师范大学珠海校区,这两所学校的录取分数线相同,根据省考试院发布的数据来看,其分数线都是587分;
不过有不少同学和家长,对于北师珠、北师大这两所学校的区别不是很清楚,其实北京师范大学(珠海)同样属于北师大的重要组成部分,所以北师大在珠海的校区也是985大学。对于公费师范生来说,近年来北师大本部的公费师范生逐步移向珠海校区培养,大家可以放心报考。
| 2023年江西文科部属公费师范生录取分数 | |||
| 院校名称 | 科目 | 录取分数 | 录取位次 |
| 华东师范大学 | 文科 | 625 | 404 |
| 北京师范大学(珠海) | 文科 | 620 | 541 |
| 华中师范大学 | 文科 | 612 | 832 |
| 西南大学 | 文科 | 605 | 1193 |
| 陕西师范大学 | 文科 | 603 | 1323 |
| 华东师范大学 | 文科 | 602 | 1382 |
| 东北师范大学 | 文科 | 600 | 1467 |
| 华中师范大学 | 文科 | 597 | 1663 |
| 陕西师范大学 | 文科 | 587 | 2567 |
| 北京师范大学(珠海) | 文科 | 587 | 2518 |
2023年在江西理科收分最低的部属师范大学是东北师范大学,投档录取分数为586分,对于选择了理科的江西省的同学来讲,排名在全省13676名以内即可上岸东北师范大学。根据部属师范大学在江西理科的招录情况来看,录取分数较低的部属师范大学有陕西师范大学、华中师范大学、西南大学等,收分均在590分以下;
下文为大家整理全国部属公费师范生大学在江西理科录取分数线:
| 2023年江西理科部属公费师范生录取分数 | |||
| 院校名称 | 科目 | 录取分数 | 录取位次 |
| 华东师范大学 | 理科 | 631 | 3106 |
| 北京师范大学(珠海) | 理科 | 630 | 3316 |
| 华中师范大学 | 理科 | 617 | 5419 |
| 西南大学 | 理科 | 611 | 6529 |
| 陕西师范大学 | 理科 | 607 | 7353 |
| 东北师范大学 | 理科 | 605 | 7947 |
| 华东师范大学 | 理科 | 598 | 10029 |
| 北京师范大学(珠海) | 理科 | 592 | 11853 |
| 西南大学 | 理科 | 590 | 12457 |
| 华中师范大学 | 理科 | 590 | 12507 |
| 陕西师范大学 | 理科 | 587 | 13518 |
| 东北师范大学 | 理科 | 586 | 13676 |


