2025年全国高考数学共5套试卷,本文就整理出新高考全国一卷、全国二卷、北京卷、天津卷、上海卷数学真题及答案解析,包含全国31个省市考生的所有数学试题及答案。

2025年全国高考时间在6月7日-10日之间,各省具体考试时间不同,但数学科目考试时间均为6月7日15:00-17:00,除了自主命题的北京、天津、上海外,其余地区均由教育部统一命题。
对完2025年高考答案之后,2025年的高考生也可以分析一下自己目前还存在什么不足,在高考前针对目前存在的问题进行改正训练,希望2025年的高考生们能够考出优异的成绩,考上理想的大学!
2025年全国高考数学数学真题及答案解析
1、2025新高考一卷数学真题及答案(全)
适用省份:江苏、浙江、河北、福建、山东、湖北、湖南、广东、江西、安徽、河南






























2、2025新高考二卷数学真题及答案
适用省份:辽宁、海南、重庆、吉林、黑龙江、广西、贵州、甘肃、四川、内蒙古、陕西、青海、宁夏、云南、山西、新疆、西藏。


















3、2025北京卷数学真题及答案(全)











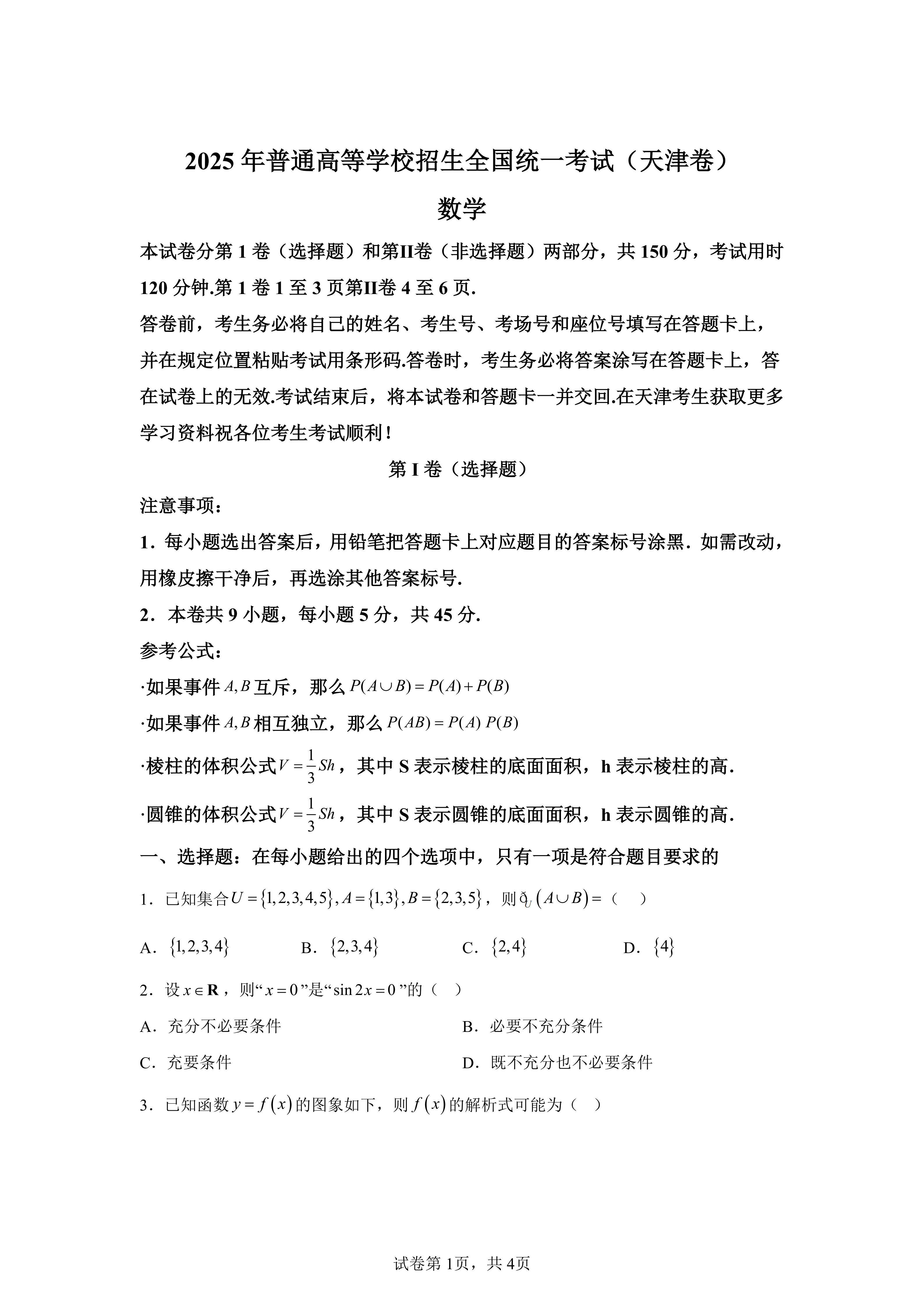
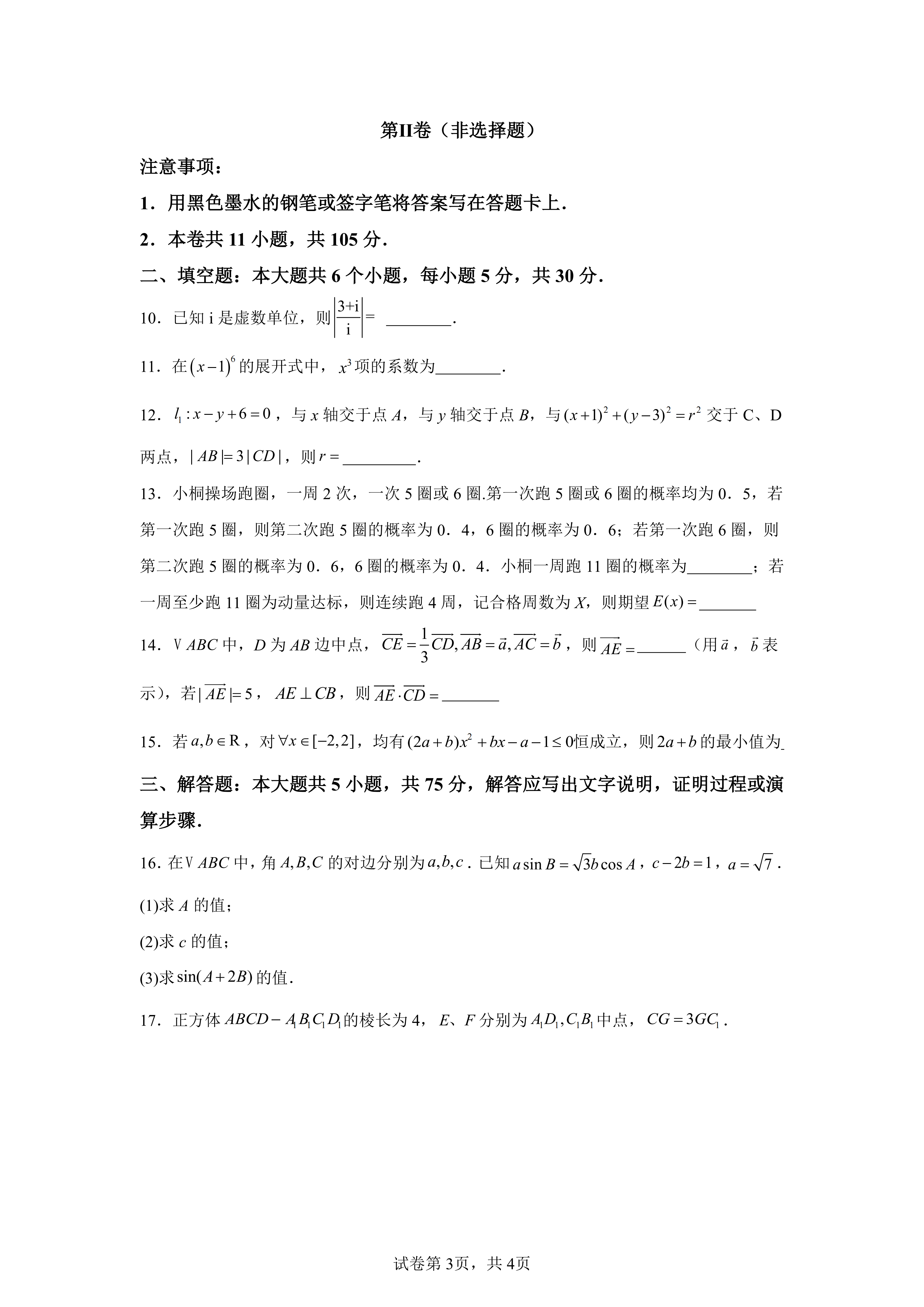
4、2025天津卷数学真题及答案(全)




















5、2025上海卷数学真题及答案(全)










