在四川省的师范高校中,排在第一的是四川师范大学,紧随其后的就是西华师范大学。不过,网上却有人说千万别来西华师范大学,这样的说法真的可信吗?本期小编将回答这个问题,同时分析一下四川师范大学和西华师范哪个好。

一、西华师范大学千万别来?
假的,别信。
现在网上抹黑大学的信息太多,几乎每所大学都逃不过,大家看到这些言论的时候千万别信。西华师范大学是四川省实力不错且知名度也比较高的师范类院校,值得报考。下面给同学们介绍一下这所大学。
西华师范大学在2023年软科中国大学排名中位居第232名,是排名比较高的大学。在川内的师范大学里,它是除了川师之外实力最强的师范大学。该校坐落于南充市,是省属重点师范院校,师资实力雄厚,学科门类齐全。
该校是招收省属公费师范生的高校之一,2023年招收570名公费师范生,包括汉语言文学、英语、化学、美术学等11个专业。省属公费师范生可享受两免一补,毕业后直接包分配有编制,想当教师的同学可优先选择。
西华师范大学也开设有普通师范类专业,这些专业不会毕业包分配,但比起其他普通类专业,可以教会大家很多授课、课堂管理等方面的知识。目前学校开设有21个师范类专业,其中8个专业是国家级一流本科专业,12个专业是省级一流本科专业,师范特色鲜明,专业实力雄厚。
为了让培养的师范生具备较强的教学能力,西华师范大学和多所省内小学建成了全科教师教育协同创新中心。在2016年,该校和成都市实验小学便建立了全科教师培养实验班,共同培养优秀的教师。学校和实小联合为实验班的同学量身定制了培养方案,不但提供大学教师+小学导师的“双导师制”培养模式,让学生能将所学的理论知识用在实际课堂中,还会提供职前培养“一拖三”,让成熟教师带领实验班的学生共同成长。基于这样的模式,西华师范大学为省内培养了很多实践能力强的优秀教师。

二、四川师范大学和西华师范哪个好?
四川师范大学更好。
在排名方面,2023年四川师范大学在软科大学榜单中位于第196名,高于西华师大数十个名次。在分数线方面,2023年两所大学在四川省的最低分数线也有一定差距。川师的文理科最低分数线都比西华师大更高。下文为大家整理了四川师大和西华师范两所院校在四川省分专业录取分数线,供大家参考。
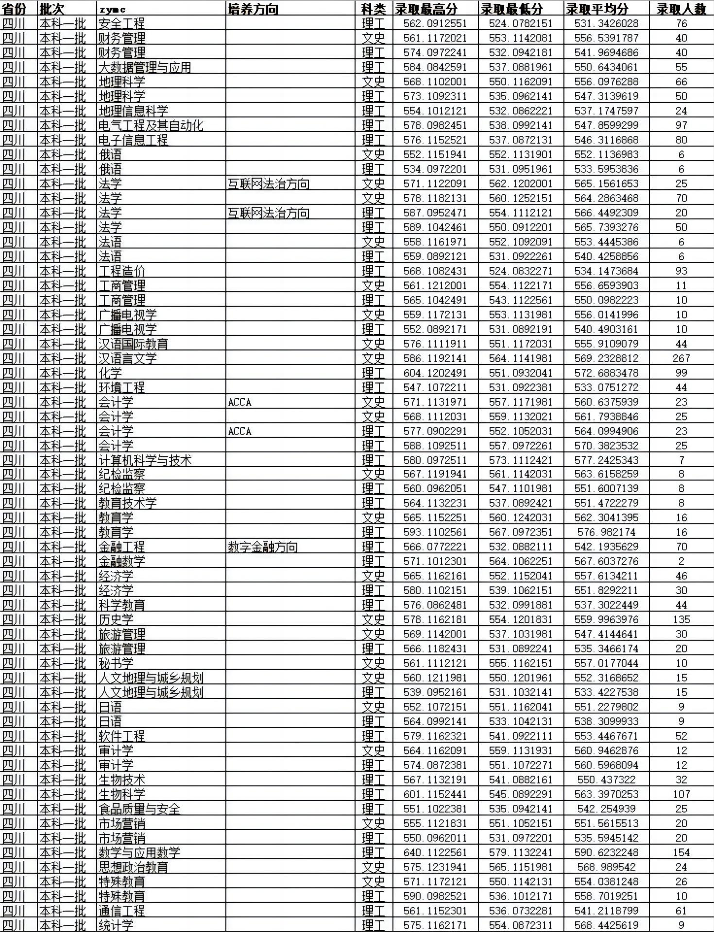
1、四川师范大学2023年录取分数线

2、西华师范大学2023年录取分数线

不过,川师和西华师大都是川内实力不错的师范大学,大家可以根据自身实力做选择。
四川师范大学办学历史悠久,学科门类齐全,覆盖12个学科门类。拥有31个国家级一流本科专业和25个省级一流本科专业,有很多优质专业可以选择。该校2022届毕业生有40%左右进入教育行业发展,师范生教育质量是比较高的。川师也是省属公费师范生的招生院校,感兴趣的同学也可以多了解一下。

