2023宜宾高三第二次诊断性考试于2023年3月22日开考,高考100网小编将在考试结束后,更新2023宜宾二诊考试各科答案及试卷,含宜宾二诊语文答案、宜宾二诊数学答案、宜宾二诊英语答案等科目考试真题汇总。
2023宜宾第二次诊断性考试是2023届学生进入高三的一次非常重要的考试,模拟考试的重要性很大,能为同学们的复习提供方向,有着查缺补漏的作用,让我们同学在高考的考场上更好地发挥自己的水平,高考100网小编希望同学们最好认真对待2023宜宾二诊考试。
以下为2023宜宾第二次诊断性考试各科试卷及参考答案汇总:
一、2023宜宾二诊考试语文试题及参考答案










二、2023宜宾二诊考试文科数学试题及参考答案








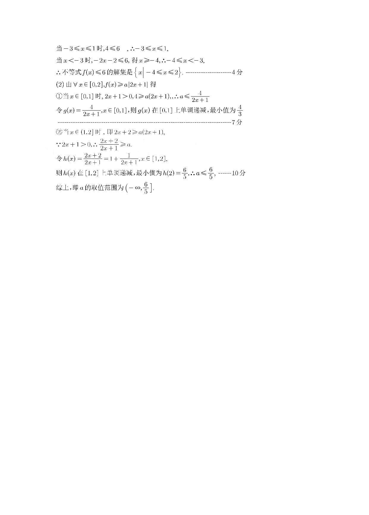
三、2023宜宾二诊考试理科数学试题及参考答案










四、2023宜宾二诊考试英语试题及参考答案
五、2023宜宾二诊考试文科综合试题及参考答案
六、2023宜宾二诊考试理科综合试题及参考答案
同时圆梦志愿还可以通过大数据分析及云计算处理,为我们科学评估所有能上的大学以及被录取的概率,方便我们后续志愿填报选择学校参考!