2024年新高考II卷是高考试卷类型之一,适用于海南、辽宁、重庆、黑龙江、吉林、甘肃、贵州、广西、山西、云南、新疆等地,只有语数外为统考科目。本文将一一收集整理该卷统考科目试题及答案解析,以供相应地区的考生核对查阅。

2024新高考II卷仅语数外由教育部统一命题,其余各科由各省自主命题,这里不做特别展示。下面是该卷2024年统考科目考试时间:
语文:6月7日9:00-11:30
数学:6月7日15:00-17:00
外语:6月8日15:00-17:00
2024新高考II卷各科试题及答案
1、2024新高考II卷语文试题及答案
(1)作文题目
阅读下面的材料,根据要求写作。(60分)
本试卷现代文阅读I提到,长久以来,人们只能看到月球固定朝向地球的一面,“嫦娥四号”探月任务揭开了月背的神秘面纱;随着“天问一号”飞离地球,航天人的目光又投向遥远的深空……
正如人类的太空之旅,我们每个人也都在不断抵达未知之境。
这引发了你怎样的联想与思考?请写一篇文章。
要求:选准角度,确定立意,明确文体,自拟标题;不要套作,不得抄袭;不得泄露个人信息;不少于800字。
(其余试题及答案正在收集中,请耐心等待。)
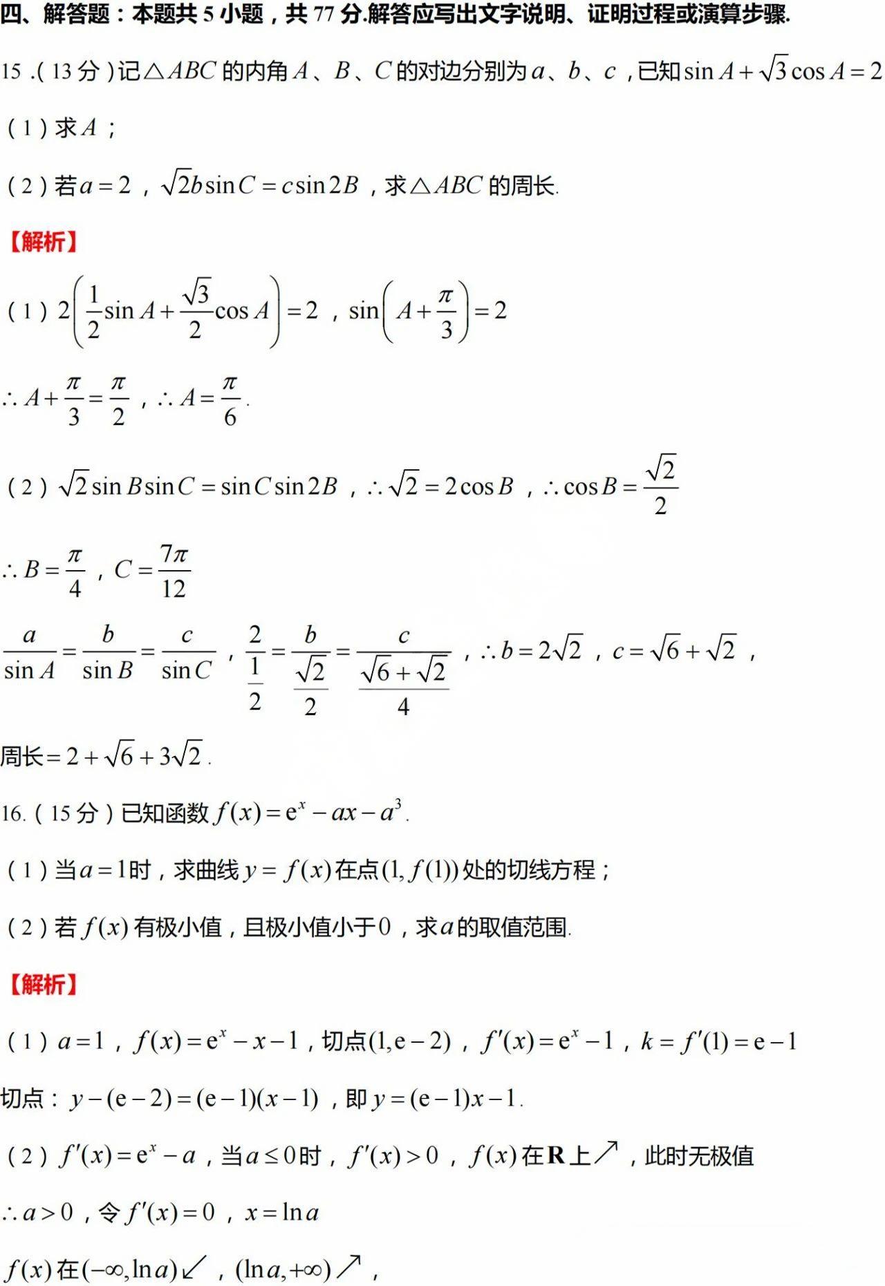
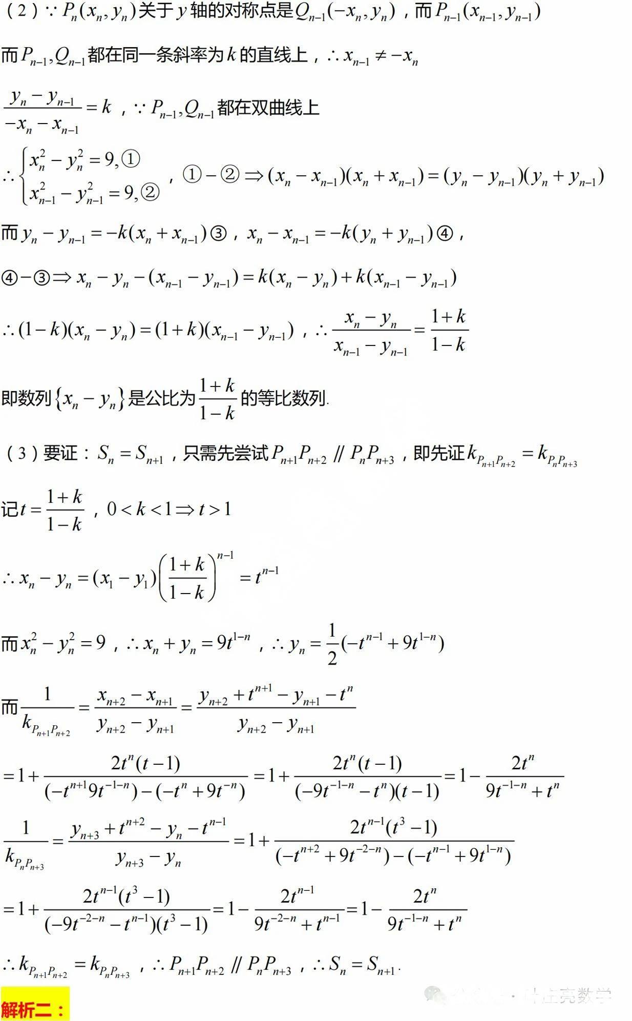
2、2024新高考II卷数学试题及答案














3、2024新高考II卷英语试题及答案
高考试卷及答案只能在考试结束后公布,本文会在考后及时收集更新相关内容,以便同学们能够第一时间查阅核对,帮助估分。