[引言]
一直以来,笔者在高中数学的教学过程中刻意回避使用高等数学或者高等代数、高等几何的内容。但是随着题目难度的加深,以及近年来命题倾向的改变,尤其是在北京地区强调“多想少算”的思潮影响下,计划陆续推出一系列高中数学与大学课程衔接的内容。
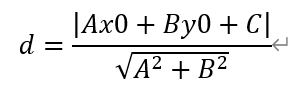
[平面中点到直线的距离]
平面上点P(x0,y0)到直线Ax+By+C=0的距离d为,

[空间中平面的方程]
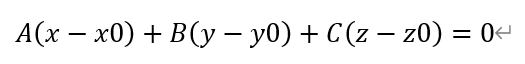
设空间中平面α的法向量为(A,B,C),且过点P(x0,y0,z0),则该平面的方程为,

由于该方程利用平面上一点以及平面的法向量,所以被称为平面的点法式方程。
将上述方程展开,则得到平面的一般式方程,

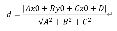
其中,D=Ax0+By0+Cz0。
[空间中点到平面的距离]
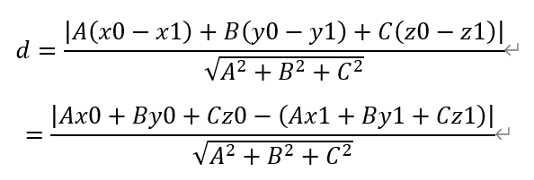
类似平面中点到直线的距离公式,空间中点到平面的距离为d,


证明:在平面上任取一点P1(x1,y1,z1)。向量n为平面的法向量,向量P1P0与向量n的夹角为θ。则所求的距离为,

其中

于是,

由于点P1在平面上,所以

从而,

[应用1]求点(2,1,1)到平面x+y-z+1=0的距离。
[解析]根据点到平面的距离公式,

[应用2](2021年,北京西城一六一中学高三上学期期中,18)如图,四棱锥P-ABCD的底面是矩形,PD⊥底面ABCD,PD=DC=1,M为BC的中点,且PB⊥AM。

(1)求BC的长;
(2)求二面角A-PM-B的余弦值;
(3)求点C到平面PAM的距离。
[解析]1)连接BD。由于PD⊥面ABCD,所以PD⊥AM。又因为PB⊥AM,PD∩PB=P,所以AM⊥面PDB。BD属于面PDB,因此AM⊥BD。

在矩形ABCD中,BD⊥AM。又因为AD⊥AB,所以∠ADB=∠MAB。从而△ADB∽△BAM,因此,


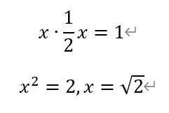
设BC=AD=x。由于AB=CD=1,所以

即BC=√2。
2)以点D为坐标原点,DA、DC、DP分别为x轴、y轴和z轴的正方向,建立空间直角坐标系D-xyz。
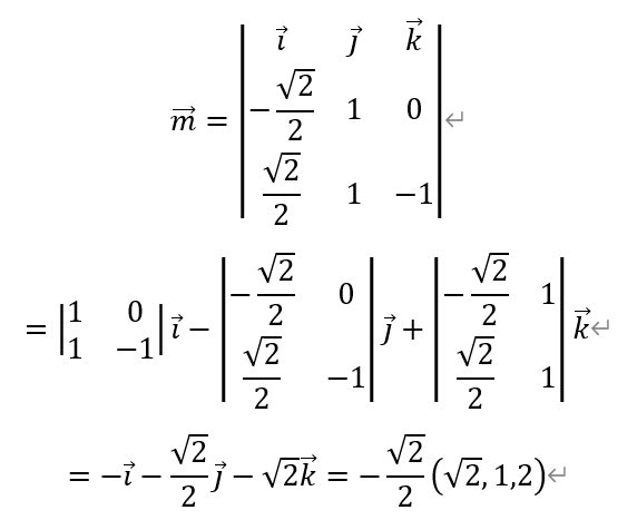
各点坐标如下:D(0,0,0),A(√2,0,0),C(0,1,0),B(√2,1,0),P(0,0,1),M(√2/2,1,0)。

设面APM的法向量m=(x,y,z),由于AM=(-√2/2,1,0),PM=(√2/2,1,-1),所以

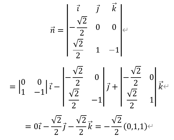
设面BPM的法向量n=(u,v,w),由于BM=(-√2/2,0,0),PM=(√2/2,1,-1),所以

设面APM与面BPM所成的二面角为φ,则

即值为3√14/14。
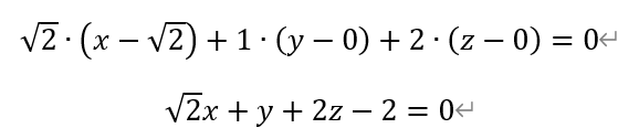
3)由2)可知,面PAM的一个法向量为(√2,1,2),且点A(√2,0,0)。因此面PAM的方程为,

点C(0,1,0),从而点C到面PAM的距离为,

即值为√7/7。
[练习1](2021年,北京第四中学高二上学期期中,17)已知正四棱柱ABCD-A1B1C1D1中,AA1=1/2AB=1,M为CC1的中点。
(1)求平面A1BM与平面ABCD所成二面角的余弦值;
(2)求点D到平面A1BM的距离。

[答案](1)4√21/21;(2)2√21/7。
[练习2](2021年,北京第八十中学高二上学期期中,20)如图,在直三棱柱ABC-A1B1C1中,AA1=AC=4,AB=3,BC=5,点D是线段BC的中点.
(1)求证:AB⊥A1C;
(2)试求二面角D-CA1-A的余弦值;
(3)求点B1到平面A1CD的距离。

[答案](1)略;(2)2√34/17;(3)6√34/17。
[练习3](2021年,北京首师附高二上学期期中,19)如图,在三棱柱ABC-A1B1C1中,AC=CB=2,AA1=2√2,且AC⊥CB,AA1⊥底面ABC,点E是AB中点.
(1)求证:BC1∥面A1CE;
(2)求二面角A1-CE-B的余弦值;
(3)求点B1到平面A1CE的距离。

[答案](1)略;(2)-√5/5;(3)4√10/5。
[练习4](2021年,北京海淀高二上学期期中,19)在三棱锥S-ABC中,△ABC是边长为4的正三角形,平面SAC⊥平面ABC,SA=SC=2√3,M,N分别为AB,SB的中点。
(1)证明:AC⊥SB;
(2)求二面角N-CM-B的正切值大小;
(3)求点B到平面CMN的距离。

[答案](1)略;(2)2√2;(3)4√2/3。