2021届成都市二诊考试即将于本月底开考。为了帮助考生提前适应二诊考试,小编整理了成都七中二诊模拟2021届理综答案及真题试卷、成都七中二诊模拟数学答案文科答案解析、成都七中二诊模拟语文答案及真题试卷解析,以2021年考生们参考。
1、理科数学试卷



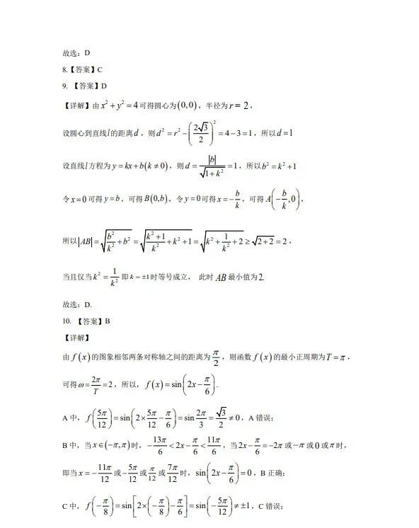
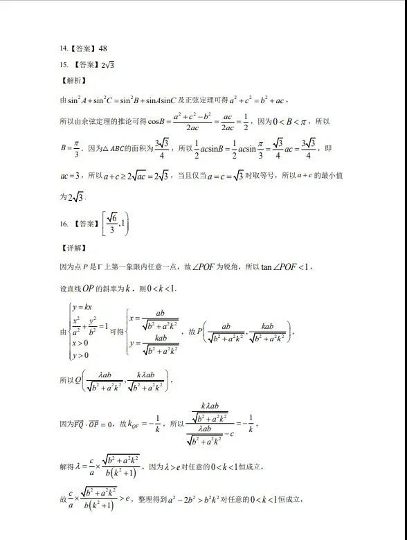
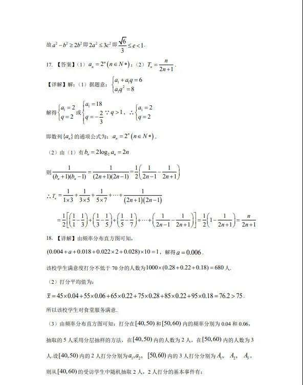
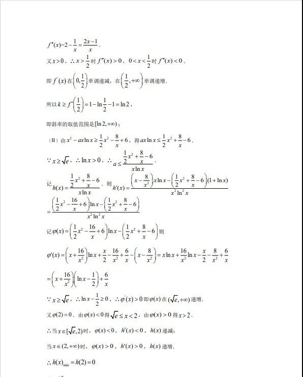
2、理科数学答案










3、文科数学试卷



4、文科数学答案









汐老师
2021届成都市二诊考试即将于本月底开考。为了帮助考生提前适应二诊考试,小编整理了成都七中二诊模拟2021届理综答案及真题试卷、成都七中二诊模拟数学答案文科答案解析、成都七中二诊模拟语文答案及真题试卷解析,以2021年考生们参考。
1、理科数学试卷



2、理科数学答案










3、文科数学试卷



4、文科数学答案










2021-02-22

2021-03-01

2021-03-09