2024新高考一卷将于2024年6月7日进行考试,为了方便大家在高考考后估分对答案,本文为大家整理了2024年新高考一卷各科答案及试卷解析汇总,含新高考1卷语文、数学、英语等科目试卷答案。
考生可在本文查阅新高考1卷2024年高考语文、数学、英语及试卷。(新高考I卷语文、数学、外语三门考试由教育部考试中心统一命题;物理、历史、化学、政治、生物、地理由各省自行命题。)

新高考一卷适用于广东、福建、江苏、湖南、湖北、河北、山东、浙江高考考生。在高考考试中,希望大家保持良好的心态,认真对待高考,发挥出自己最好的水平,本文为考新高考一卷的广大考生整理了2024年新高考一卷各科试卷及答案,高考结束后可以及时对照答案进行估分。
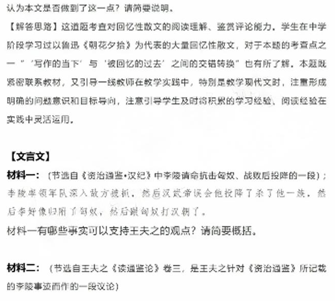
一、2024新高考一卷语文试卷答案









语文作文
随着互联网的普及、人工智能的应用,越来越多的问题能很快得到答案。那么,我们的问题是否会越来越少?
以上材料引发了你怎样的联想和思考?请写一篇文章。
要求:选准角度,确定立意,明确文体,自拟标题;不要套作,不得抄袭;不得泄露个人信息;不少于800字。
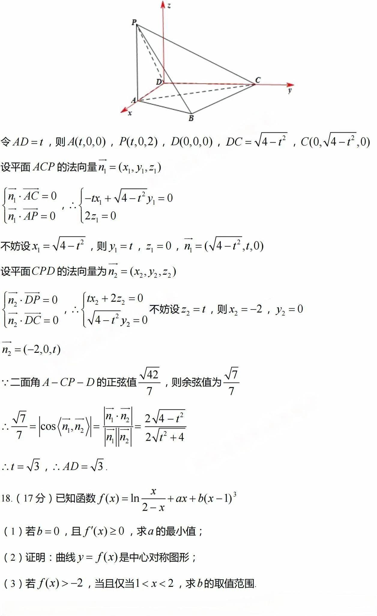
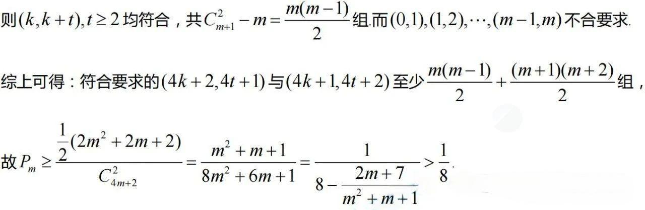
二、2024新高考一卷数学试卷答案

















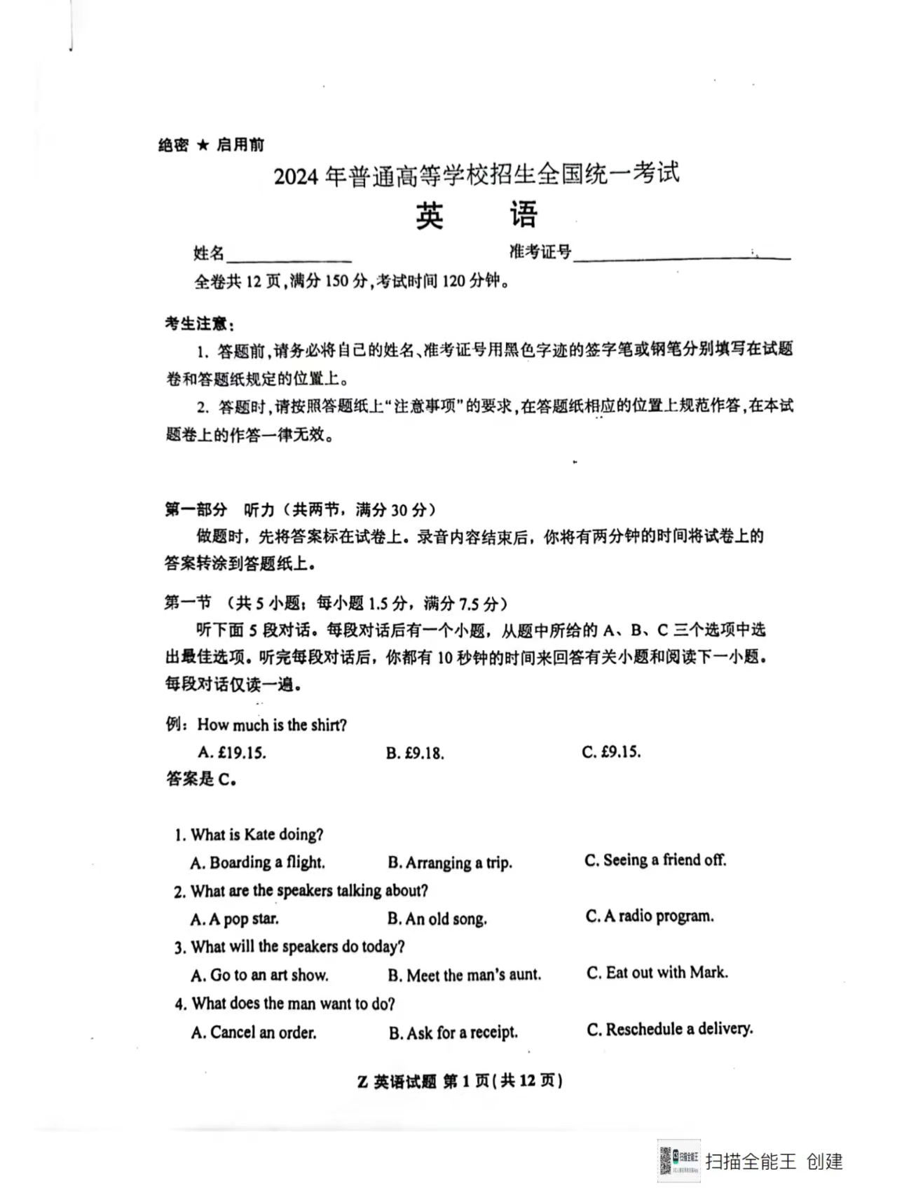
三、2024新高考一卷英语试卷答案












非官方答案,仅供参考。


同时圆梦志愿还可以通过大数据分析及云计算处理,为我们科学评估所有能上的大学以及被录取的概率,方便我们后续志愿填报选择学校参考!