很多老师对于复合函数的单调性会直接告诉学生结论——“同增异减”,即
内外层函数的单调性相同,则复合函数为增函数,
内外层函数的单调性相异,则复合函数为减函数。
那么,这个结论可以证明吗?用什么来证明呢?
我们知道,数学知识具有明显的结构化特征。所有的知识,追根溯源都是从最基本的概念,公理出来推导而来的。
所以,既然是单调性问题,那就回归到函数单调性的定义来证明吧!




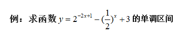
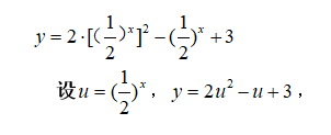
分析:根据指数幂的运算,函数y可整理为:

内外层函数及复合函数的单调性如下表:


李帅老师
很多老师对于复合函数的单调性会直接告诉学生结论——“同增异减”,即
内外层函数的单调性相同,则复合函数为增函数,
内外层函数的单调性相异,则复合函数为减函数。
那么,这个结论可以证明吗?用什么来证明呢?
我们知道,数学知识具有明显的结构化特征。所有的知识,追根溯源都是从最基本的概念,公理出来推导而来的。
所以,既然是单调性问题,那就回归到函数单调性的定义来证明吧!




分析:根据指数幂的运算,函数y可整理为:

内外层函数及复合函数的单调性如下表:

