2026台州一模分数划线如下:特控线553分、一段线438分、二段线334.5分。
为方便同学们根据成绩查漏补缺,本文将收集2026届台州一模分数线及赋分表,并附上模考成绩换算省排名的方法,希望能对大家有所帮助!

一、2026届台州一模分数划线
2026届台州一模考试于2025年11月进行,考试结束后按照“分段划线”机制依照考生总分排名按比例划定特控线、一段线、二段线,方便同学们了解自己目前的水平。
2026台州一模分数线公布如下:
特控线:553分
一段线:438分
二段线:334.5分
注:一段线不等于本科线,特控线不等于一本线,考生参考时可结合往年大学录取数据了解各分数段大学专业招生层次。点击查看:《浙江2026年高三一模各地分数线汇总》,可了解其余地市高三一模分数划线情况。
二、2026届台州一模赋分表
上述为赋分后划定的分数线,如果想了解各科赋分情况,可在下方查阅赋分表。2026届台州一模赋分表显示:
赋分等级分100分对应各科原始分为:物理91分、化学95分、生物94分、政治86分、历史91分、地理86分、技术95分;
赋分等级分99分对应各科原始分为:物理84分、化学89分、生物90分、政治82.5分、历史87分、地理81分、技术90分;
赋分等级分98分对应各科原始分为:物理77.5分、化学83分、生物86分、政治79.5分、历史83分、地理77分、技术85.5分;
赋分等级分80分对应各科原始分为:物理49.5分、化学57分、生物61分、政治62.5分、历史63分、技术63.5分;
赋分等级分60分对应各科原始分为:物理29.5分、化学36分、生物37分、政治45.5分、历史45分、地理45分、技术46.5分。

注意,浙江高考赋分制采用20个赋分区间,最低赋分区间都是40-42分,这保障了考生的基本分数情况。又因为赋分区间是根据人数排名比例进行划定,因此上表中即使2026台州一模物理成绩只有69分,却依旧可以赋到94分的高分成绩。
下面是浙江高考赋分的赋分表与计算公式,考生可自行进行换算:

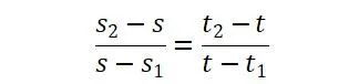
计算公式:

其中,s2、s1为卷面得分区间的上限和下限,s为待转换卷面得分;t2、t1为赋分区间的上限和下限,t为卷面得分等比例转换后的赋分。
三、省排名换算方法
台州一模2026届考生可以通过以下几种方法获取自己的省排名情况,方法仅供参考:
1、线差法
原理:将模考成绩转换为往年高考预估成绩,然后对照2025年浙江高考一分一段表,获取对应省排名信息。
公式:高考预估分数=模考成绩-模考批次线+高考批次线
示例:假设某考生2026台州一模成绩为500分,那么其高考预估分数为:500-438+490=552。再结合一分一段表,查询到2025年浙江高考552分对应省排名区间为108986名-110269名,可知2026台州一模500分考生省排名大概在110269名左右。
参考资料:《2025年浙江高考一分一段位次表》
2、同水平对照法
查询往年台州一模成绩年级/校级/市级排名与自己一样的考生,了解其最终高考省排名情况,可以对自己的实力有大概预估。