2023南昌三模是南昌市第三次模拟考试,2023南昌高三三模将在5月16日举行。关于2023年南昌三模理综真题及参考答案解析将会在本文进行整理,同学们可通过这份资料,及时知晓南昌市高三三模理综答案。
2023年南昌三模安排在5月16日开考,预计考2天,本期考试共有5门,即语文、数学、英语、文综、理综。对于靠前最后一次的模拟考试,同学们对于考试反映出来的薄弱点要进行总结和巩固;对于本次考试结果,也要抱有平稳的心态,从而更好地应对6月的高考!
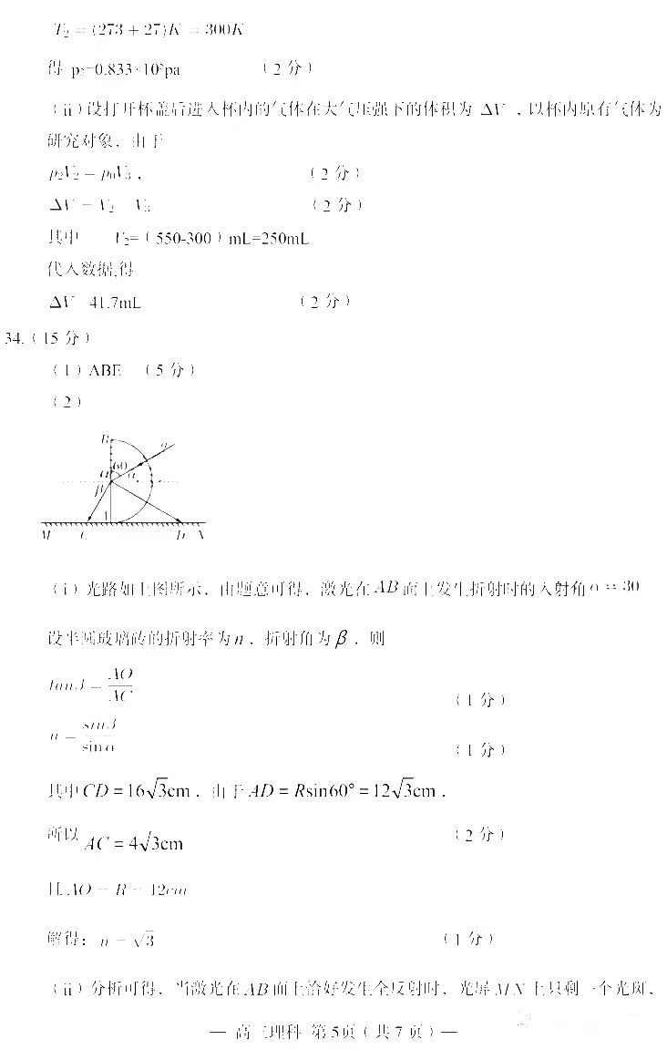
一.2023年南昌三模理综真题







二.2023年南昌三模理综答案解析






