加速度是一个非常重要的物理量,不仅在运动学要经常用到他,在力学中也是不得不用到它,它是运动学和力学的桥梁,更是牛顿第二定律的灵魂。
在运动学中有关加速度的公式(加速度用a表示)
1、a=ΔV/Δt(此公式是加速度的比例式,其中ΔV为在时间t内的速度变化量,ΔV等于末速度减初速度)
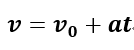
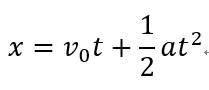
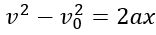
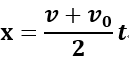
2、四个基本公式可以求加速度




3、匀变速直线运动中三个推论中的一个也可以求加速度:
(相邻相等时间间隔t内的位移之差等于at²)
在力学中有关加速度的公式
F=ma或a=F/m(牛顿第二定律,这是加速度的决定式)
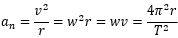
向心加速度有关公式
加速度物理意义速度的变化快慢,等于单位时间内速度的变化量,从上面可以看成,计算公式有很多种,但只要记住两个最基本的a=ΔV/Δt和a=F/m就行,其他的公式都是在这个基础上推导而来,理解最重要。