2023重庆一诊考试结束后,便会公布2023重庆一诊本科分数线划线,很多同学们都很关心本次2023重庆一诊分数段情况,本期高考100将为大家介绍2023重庆一诊本科分数线划线情况,包含康德卷、九龙坡,以及往年重庆一诊分数线对应表。
点击查看2023年重庆一诊各科试卷及答案汇总:
https://www.gk100.com/read_242842622.htm(康德卷)
https://www.gk100.com/read_273038697.htm(九龙坡)
一、2023重庆一诊本科分数对应表
1、2023重庆一诊本科上线统计
物理类特殊类分数:433分,本科批分数:364分;
历史类特殊类分数:461分,本科批分数:391分;

2、2023重庆一诊赋分等级区间表

3、2023重庆一诊单科成绩统计

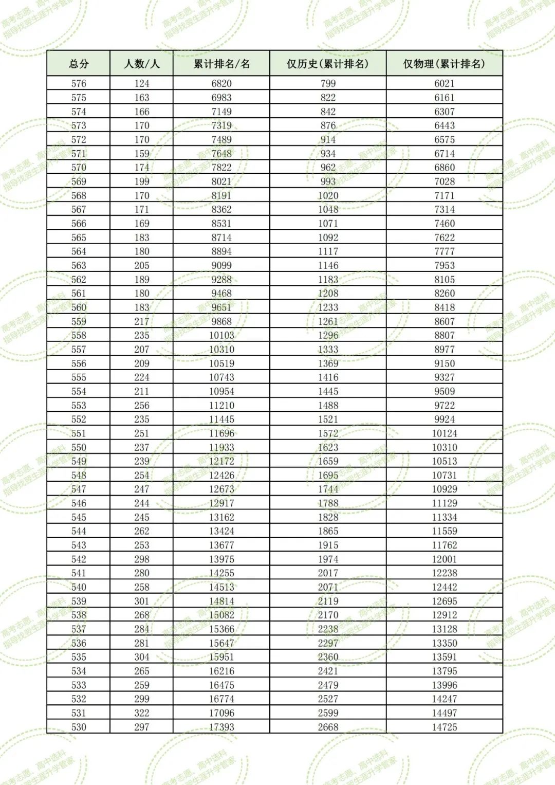
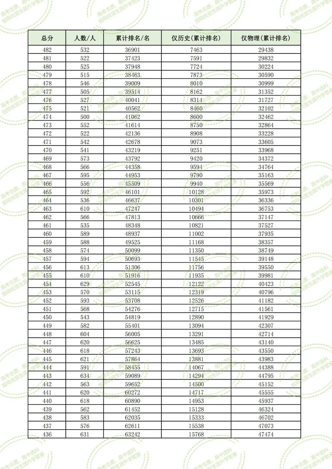
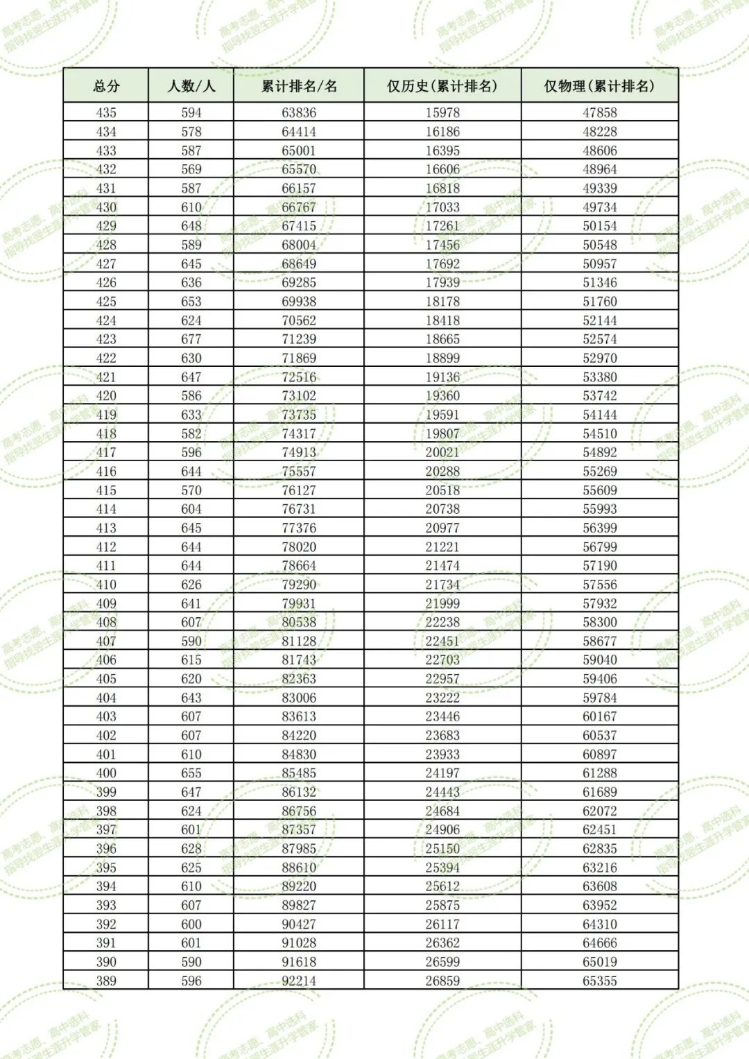
4、2023届重庆一诊一分一段表











二、2022重庆一诊本科分数对应表
1、重庆一诊模拟划线批次上线统计
物理类:总分最高分714分,总分平均分431.7分,本科批累计人数76155;
历史类:总分最高分690.5分,总分平均分381.5分,本科批累计人数26362;

2、重庆一诊单科成绩统计
语文:最高分137分,平均分92.69;
数学:最高分150分,平均分53.28;
英语:最高分148分,平均分78.69;
物理:最高分100分,平均分49.28;
历史:最高分94分,平均分48.6;
化学赋分:最高分100分,平均分70.54;
生物赋分:最高分100分,平均分70.89;
政治赋分:最高分100分,平均分70.38;
地理赋分:最高分100分,平均分70.83;
化学::最高分100分,平均分49.04;
生物:最高分100分,平均分57.18;
政治:最高分100分,平均分52.94;
地理:最高分100分,平均分53.56;

3、重庆一诊各学科赋分等级区间表

同时圆梦志愿还可以通过大数据分析及云计算处理,为我们科学评估所有能上的大学以及被录取的概率,方便我们后续志愿填报选择学校参考!
以下为2022届重庆一诊一分一段表:








