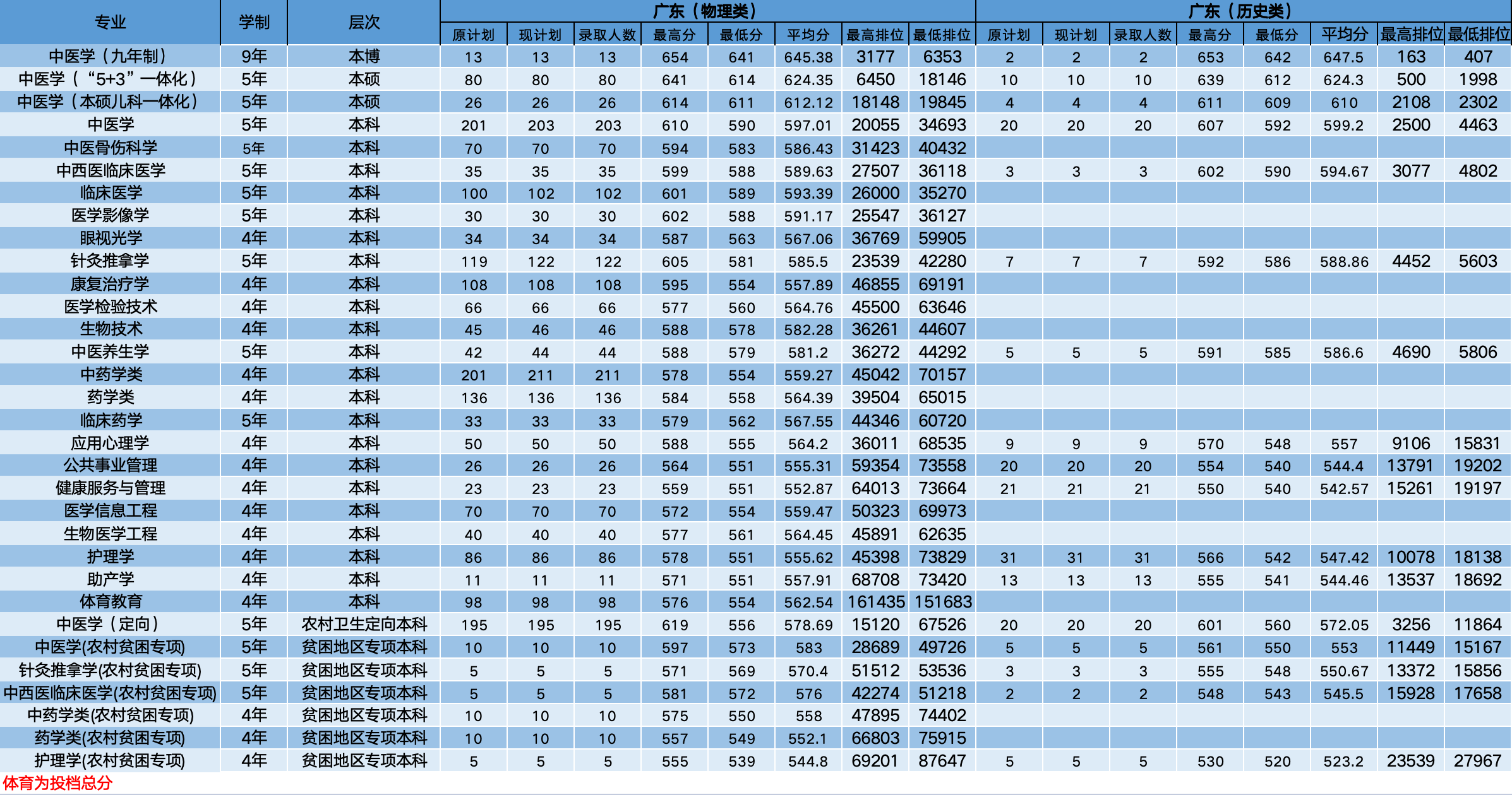
广州中医药大学在广东物理类最低539分、对应护理学(农村贫困专项)专业,最高654分、对应中医学(九年制)专业。本期将介绍广州中医药大学高考各类招生在全国各省的分数线。

2024年广州中医药大学各省录取分数线还未公布,预计将在7月中下旬陆续公布,公布后本文将尽快更新。以下为2023年广州中医药大学各省相关分数线。
一、广州中医药大学录取分数线
在广州中医药大学录取分数线中,在广东物理类最低539分、对应护理学(农村贫困专项)专业,最高654分、对应中医学(九年制)专业。
在历史类最低520分、护理学(农村贫困专项)专业,最高653分、对应中医学(九年制)专业。
各位可以在圆梦志愿APP查看广州中医药大学的历年高考录取情况。

在浙江最低606分、对应公共事业管理专业,最高661分、对应中医学(“5+3”一体化)专业。

在江西理科最低564分、对应医学检验技术、生物技术、中药学类专业,最高595分、对应中医学(“5+3”一体化)、中医学专业。
在文科最低574分、对应健康服务与管理专业,最高605分、对应中医学专业。

在河南理科最低451分、对应体育教育专业,最高611分、对应中医学(九年制)专业。
在文科最低601分、对应应用心理学、公共事业管理、护理学、助产学专业,最高616分、对应中医骨伤科学专业。

在四川理科最低350分、对应体育教育专业,最高647分、对应中医学(九年制)专业。
在文科最低572分、对应公共事业管理专业,最高580分、对应针灸推拿学专业。

