2025年广东公费师范生招生计划总数为1299人(地方公费师范生),招生院校包含广州大学、广东第二师范学院等10所。想要报考广东公费师范生的考生,必须符合广东省高考报名条件,且高考成绩应达到2025年公费定向培养教师专项计划录取最低分数线。

广东公费师范生2025招生简章
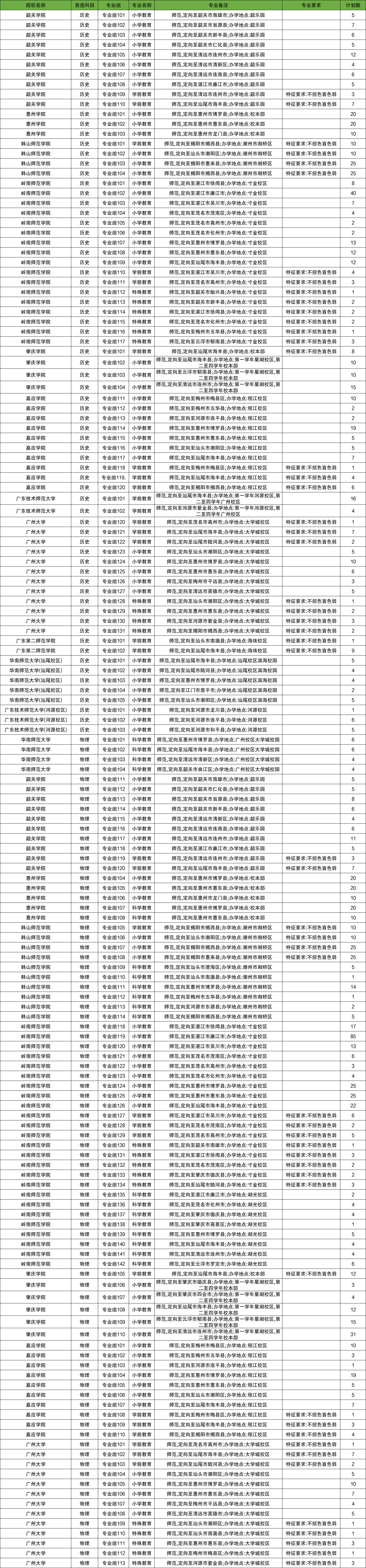
注:本文仅汇总地方公费师范生2025招生信息。
1、招生院校
2025年在广东招地方公费师范生的院校共有10所,分别为:韶关学院、惠州学院、韩山师范学院、岭南师范学院、肇庆学院、嘉应学院、广东技术师范大学、广州大学、广东第二师范学院、华南师范大学。
2、招生对象
考生需具有广东省户籍,或为外省来粤务工人员的随迁子女,并符合广东省高考报名条件。
3、报考条件
(一)忠诚党和人民的教育事业,热爱教育工作,自愿报考定向培养师范专业,承诺在校学习不转学、不转专业,且保证毕业后服从计划来源地安排,到定向学校任教不少于6年。
(二)身体健康,参照《普通高等学校招生体检工作指导意见》《广东省教师资格申请人员体格检查标准(2013年修订版)》和《广东省事业单位公开招聘人员体检通用标准》等相关要求体检合格。
(三)符合2025年度相应招考专业的报考条件,报考音乐、美术、体育类的考生,还需参加广东省普通高校招生统一考试的术科统考。高考成绩应达到2025年广东省招生委员会公布的公费定向培养教师专项计划录取最低分数线。

4、招生专业及招生计划
共招生1299人,其中各专业招生计划如下:
小学教育:960名;
学前教育:159名;
科学教育:138名;
特殊教育:42名。
各校各专业具体计划见下:


5、招生流程
填报志愿——投档录取——签订协议
6、志愿填报批次及时间
提前批本科普通类:06月29日19:00-07月04日16:00
7、2025年录取分数线
直接见下表:



