2026内蒙古呼和浩特高三一模(呼市一模)分数划线如下:物理类本科线332分、特控线444分,历史类本科线362分、特控线486分。另外,官方公布的一分一段表显示,物理类689分排第1名、667分排第8名、660分排第17名、640分排第71名等。
更多分数划线信息以及一分一段表内容可在下文查阅。

一、2026内蒙古呼和浩特高三一模分数划线
物理类:本科线332分、特控线444分;
历史类:本科线362分、特控线486分。
上述分数线意味着物理类考生分数在332分及以上、历史类分数在362分及以上就有机会上本科院校,而特殊类型招生院校则需分别在444分、486分及以上。
分数线可以作为评估自己能上的大学层次的基本参考,此外考生还需注意各科有效分情况,通过一模考试了解自己的优势、劣势科目,方便后期分配复习资源。下面分别列举物理类、历史类各科目本科有效分、特控有效分(按照2025届高考特控线和本科线比例计算):
本科有效分:
物理类:语文85分、数学42分、英语52分、物理22分;
历史类:语文90分、数学30分、英语59分、物理50分;
特控有效分:
物理类:语文100分、数学80分、英语87分、物理38分;
历史类:语文108分、数学68分、英语99分、物理64分。

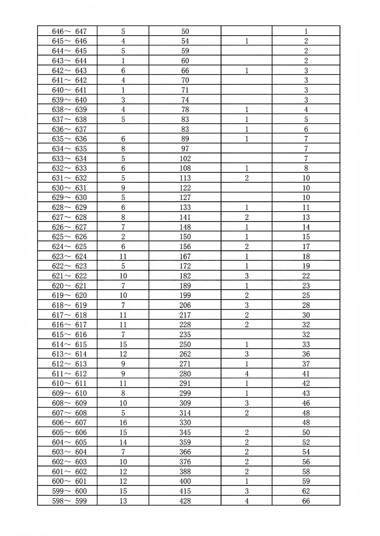
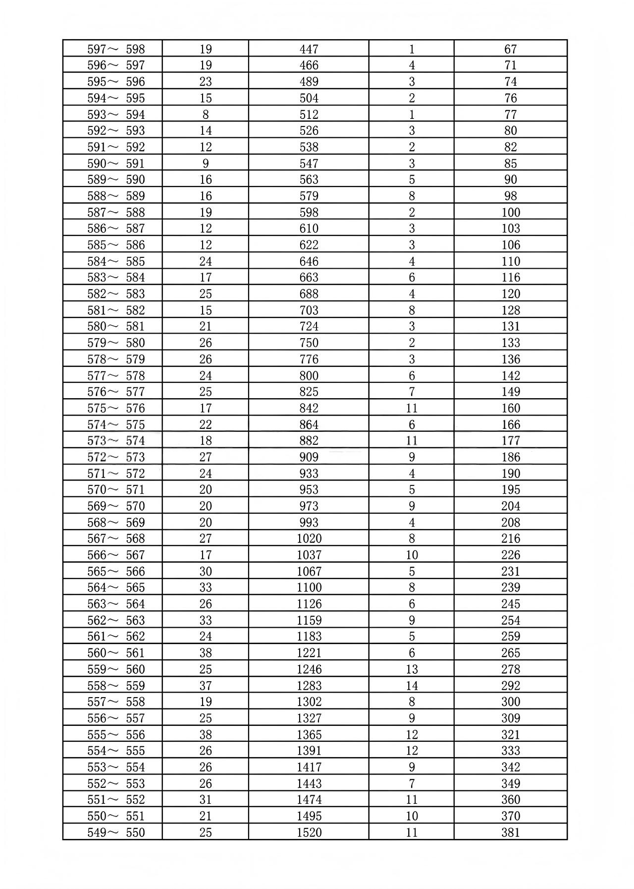
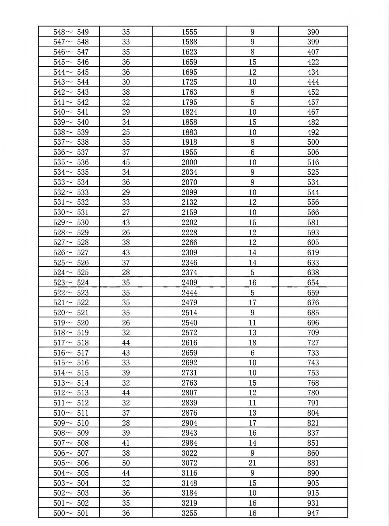
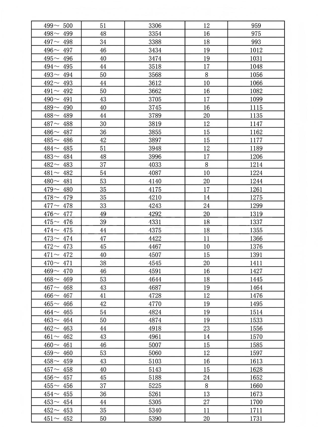
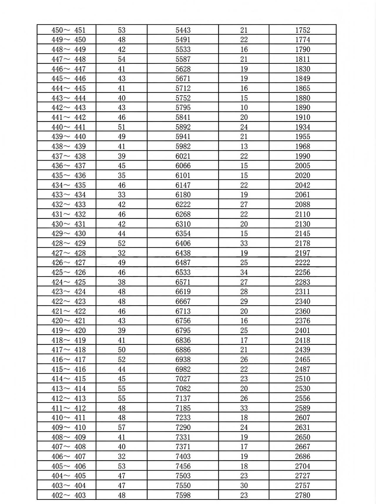
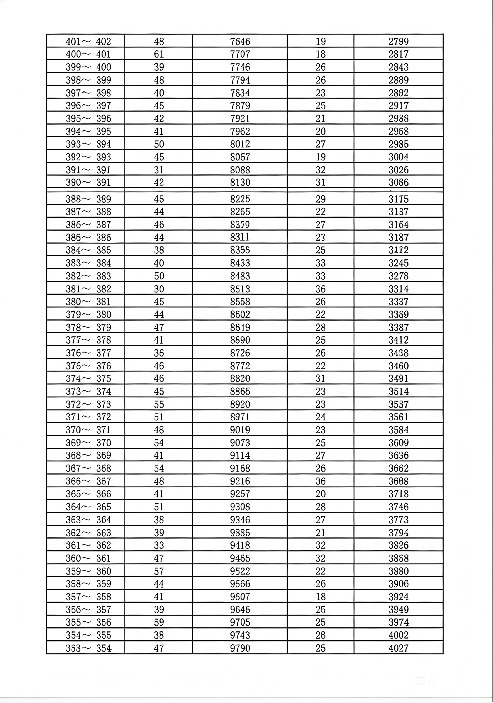
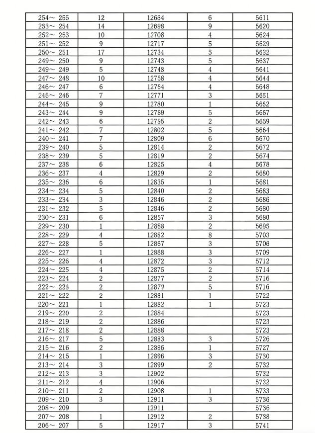
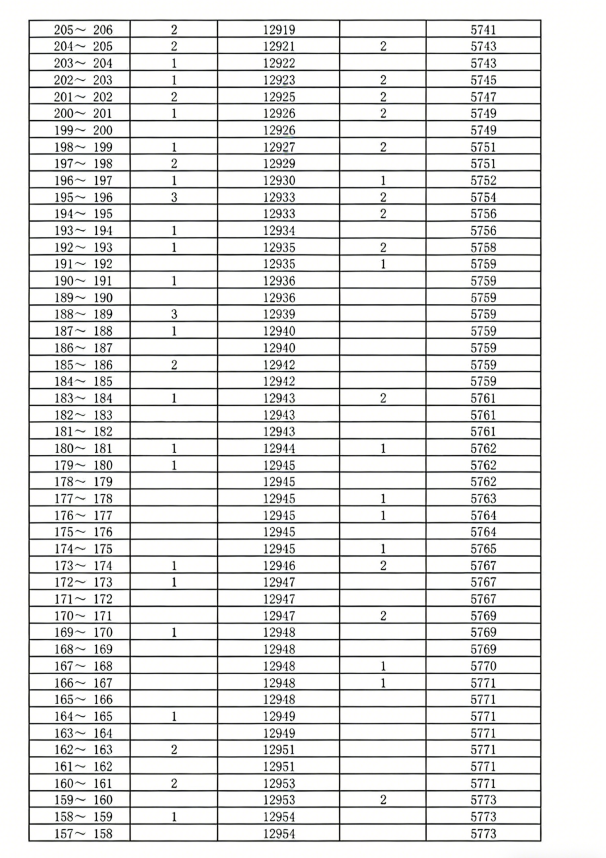
二、2026内蒙古呼和浩特高三一模一分一段表
从2026届高三一模质量监测赋分后总分的一分一段表(即2026内蒙古呼和浩特一模一分一段表)来看,高分段分布呈现出较为分散的特点。
物理方向高分段(647分以上)人数集中,689分以上共2人,670分以上累计7人,650分以上累计45人,整体呈“顶尖人数少、高分段梯度分布”的特点,头部竞争集中在650-680分区间。历史方向高分段人数极少,仅647分以上有1人,630分以上累计10人,高分段断层明显,顶尖生源稀缺。
物理方向600分以上累计428人,历史方向600分以上累计66人,物理方向高分段基数远大于历史方向,两类选科的高分段规模差距显著,反映出物理方向考生整体分数上限更高、高分群体更庞大。
根据已经公布的一分一段表可知:
物理类:688分排名第2、683分排名第3、660分排名第17、630分排名第122、600分排名第400、580分排名第724、550分排名第1495、510分排名第2876、480分排名第4140。
历史类:645分排名第2、630分排名第10、610分排名第42、600分排名第59、570分排名第195、550分排名第370、530分排名第566、500分排名第947、490分排名第1099。
下面是2026内蒙古呼和浩特高三一模一分一段表完整版:














