2024黑龙江高考安排在6月7日举行,一共考三天。本期将整理2024黑龙江高考数学真题及参考答案汇总,包含单选题、填空题、解答题各类题型的答案。同学们可通过这份资料,对数学成绩进行预估。

今年是黑龙江新高考落地的第一年,会采用新高考二卷。数学是在6月7日的下午15:00-17:00举行,考两个小时,卷面分为150分。
虽然2024年的高考数学在整体上仍然延续了原全国新课标卷的单选题、多选题、填空题、解答题的结构,但是相较于之前,题量、分值、题目顺序这三方面发生了较大的变化。
对于高三考生来说,高考这几天最重要的是要调整好心态,保证充足的睡眠,然后在考试的过程中仔细审题、专注答题,争取发挥出自己的最好水平!
一、2024年黑龙江高考数学试卷真题
非官方版,仅供参考




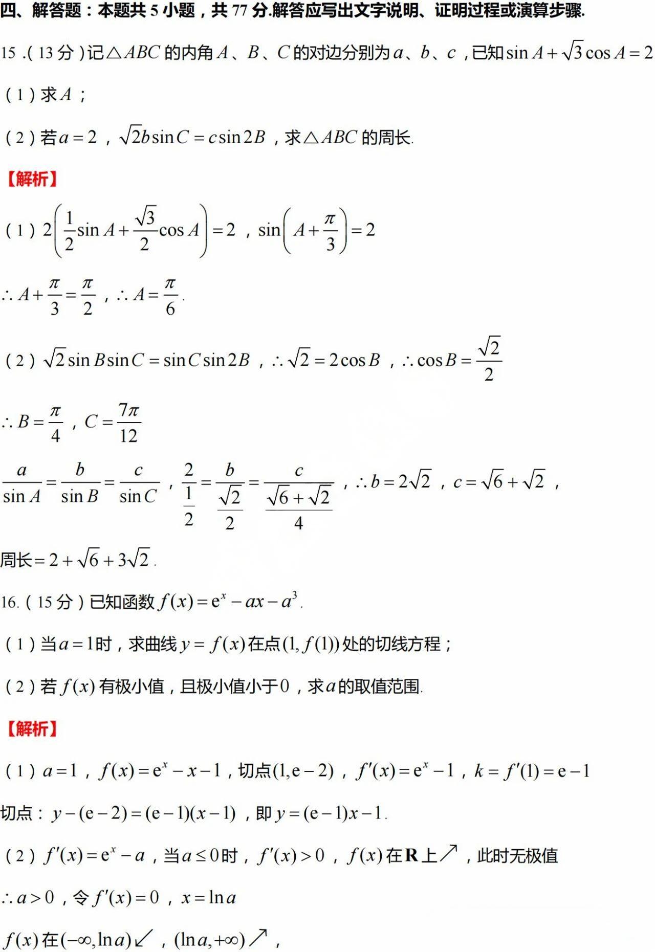
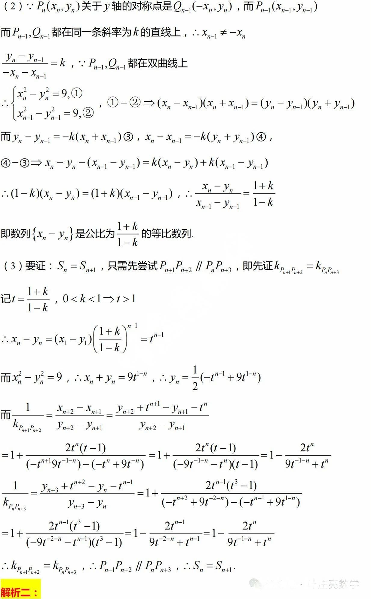
二、2024年黑龙江高考数学答案解析
非官方版,仅供参考













