2023新疆高考第二次适应性检测将于2023年4月6日进行考试,本文将在考试结束后为大家更新2023新疆高考第二次适应性检测理科数学答案及试卷,下文为小编收集整理的2023新疆高考第二次适应性检测理科数学试题及参考答案,供大家参考。
高考适应性检测按教育部教育考试院公布的2023年普通高等学校招生考试大纲的要求,由省招生考试院统一组织命题和制卷。此次考试新疆维吾尔自治区的同学都会参加,包括机构的复读学生。含金量非常高,数据参考也具有很大的意义,本文将为大家带来新疆维吾尔自治区20223年普通高考第二次适应性检测各科试卷及答案解析。
2023新疆高考第二次适应性检测其他科目试卷及参考答案汇总:https://www.gk100.com/read_4251185618.htm(点击查看)
一、2023新疆高考第二次适应性检测理科数学试卷






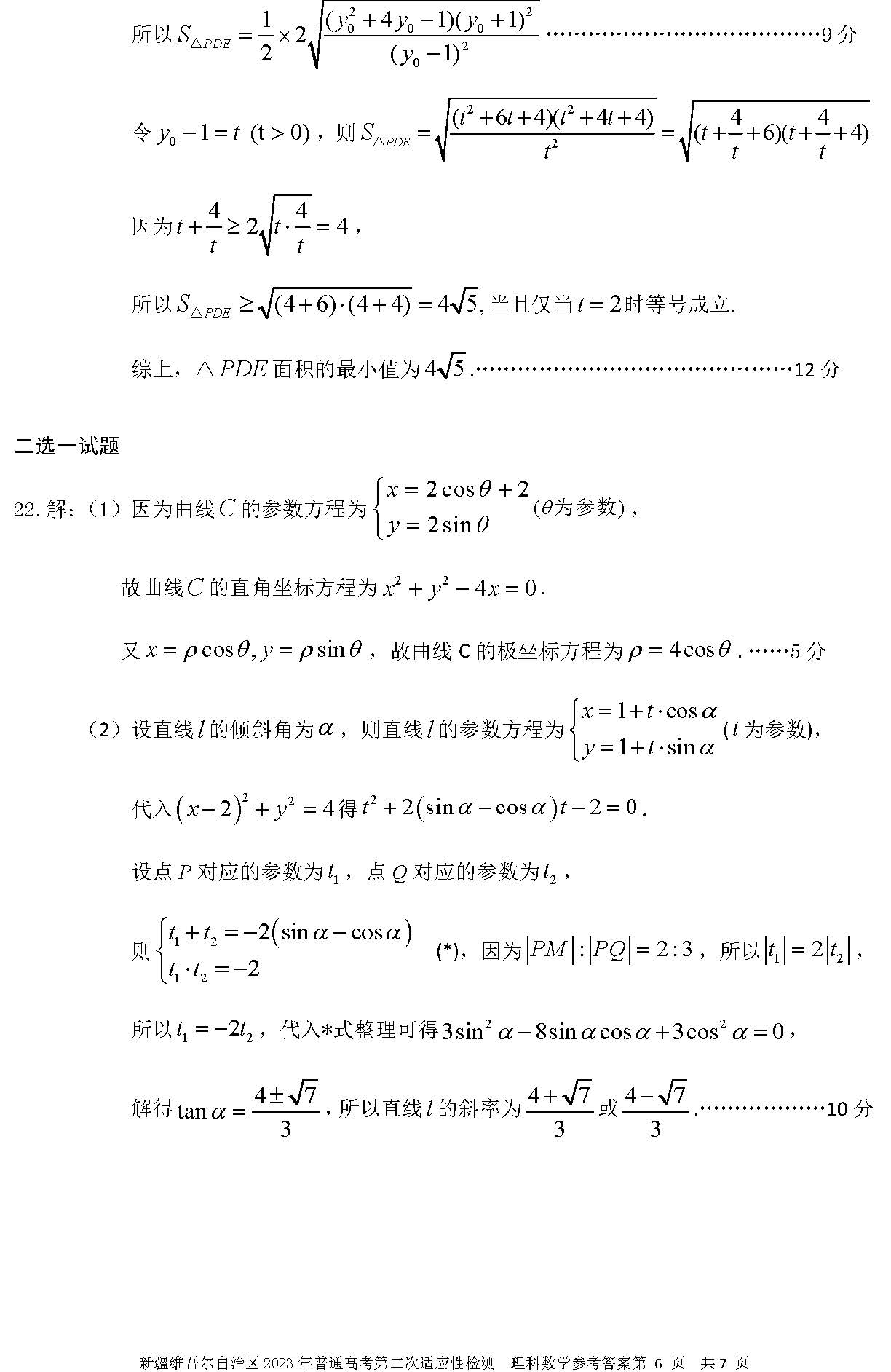
二、2023新疆高考第二次适应性检测理科数学参考答案







同时圆梦志愿还可以通过大数据分析及云计算处理,为我们科学评估所有能上的大学以及被录取的概率,方便我们后续志愿填报选择学校参考!