椭圆



备注:
两条直线夹角的范围为[0°,90°],与直线的倾斜角是不同的,直线的倾斜角的范围为[0°,180°),如下图一表示直线L与x的夹角ɑ和直线L的倾斜角相等;如图二表示直线L与x的夹角ɑ和直线L的倾斜角互补,所以直线的斜率k与直线和x轴的夹角之间的关系为:|k|=tanɑ


备注:
下图直线L是过椭圆的右焦点,与直线L过椭圆的左焦点所得弦长公式是一样的,可自行证明。



备注:
以上是证明椭圆的焦点在x轴上过焦点的弦长公式,如果焦点在y轴上,公式不变,只是ɑ变为直线L与y轴的夹角,所以椭圆过焦点的弦长公式中的ɑ为直线与焦点所在轴的夹角。
双曲线




备注:
下图直线L是过双曲线的右焦点,与直线L过双曲线的左焦点所得弦长公式是一样的,可自行证明。


注意:
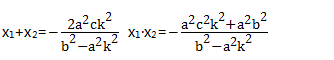
实际上过焦点的直线被双曲线所截的弦长有两种情况,一种为上面例题图所示,直线与双曲线的交点在双曲线的同一支上面,此时x1和x2为同号,即x1∙x2>0,还有另外一种情况就是直线与双曲线的交点在双曲线的左右两支上,如下图所示,此时x1和x2为异号,即x1∙x2<0




备注:
以上是证明双曲线的焦点在x轴上过焦点的弦长公式,如果焦点在y轴上,公式不变,只是ɑ变为直线L与y轴的夹角,所以双曲线过焦点的弦长公式中的ɑ为直线与焦点所在轴的夹角。
抛物线








备注:
以上是证明抛物线的焦点在x轴正半轴上过焦点的弦长公式,当抛物线焦点在x轴负半轴,y轴正半轴,y轴负半轴时,弦长公式与焦点在x轴正半轴(上面已证)均相同,只是ɑ变为直线L与焦点所在轴的夹角。