2025年浙江首考即将于1月6日至8日举行,这一考试对于浙江省内的高中生来说至关重要。本文将详细介绍2025年浙江首考的时间安排和考试科目,以及考生们关心的赋分情况和赋分对照表,帮助考生和家长更好地了解和准备考试。

一、2025浙江首考时间及科目
2025年浙江首考将于1月6日至8日举行,具体的时间安排如下:
1月6日:
上午:8:00 - 9:30 物理
上午:10:30 - 12:00 思想政治
下午:13:30 - 15:00 化学
下午:16:00 - 17:30 技术
1月7日:
上午:8:00 - 9:30 历史
上午:10:30 - 12:00 生物学
下午:13:30 - 15:00 地理
1月8日:
上午:9:00 - 11:00 外语(英语、日语、俄语、德语、法语、西班牙语)
下午:13:30 - 14:30 物理(学考)
下午:16:00 - 17:00 思想政治(学考)
本次考试共包括物理、思想政治、化学、技术、历史、生物学、地理和外语8门科目。其中,外语是必考科目,剩下的选考科目则是在除技术外的6门科目中选择三门进行考试。这样的设置旨在全面考察学生的基础学科知识和综合能力。
二、浙江首考赋分一般多少?
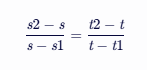
浙江首考赋分规则采用了一种基于全省排名的等比例转换方式。这种赋分方式确保了每个考生的成绩都能在一个相对公平的范围内进行转换。具体来说,赋分成绩是根据考生的原始成绩和全省排名进行转换,转换公式为:

其中:
s 代表考生的原始成绩;s1 和 s2 分别代表原始成绩区间的下限和上限;t 是考生最终的赋分成绩;t1 和 t2 分别代表赋分区间的下限和上限。
赋分之后,考生的最低赋分为40分,最高赋分为100分,共有20个赋分区间,每个区间赋分分差为1分。这种赋分机制能够更公平地反映考生在全省范围内的相对水平,为高校招生录取提供更公平的参考。
由于赋分成绩是根据全省排名来确定的,因此即使两名考生的原始成绩相同,但由于排名不同,他们的赋分成绩也可能会有所不同。赋分区间的设置确保了每个区间的考生都能得到相对公平的赋分,避免了原始成绩的极端波动。
三、浙江首考赋分对照表
以下是浙江首考赋分对照表:

为了具体说明赋分的计算方法,我们可以举一个例子:
假设某考生化学科目的原始成绩为83分,全省同选科考生中,原始成绩在84-81分之间的考生被划分到某一赋分区间(假设为87-85分)。那么,可以将83分、84分(s2)、81分(s1)、87分(t2)和85分(t1)代入公式进行计算:

解这个方程,我们得到:

经过计算,该考生的化学科目赋分成绩为86分。
赋分对照表和计算方法的应用能够帮助考生和家长更好地了解成绩转换的过程,从而做出更合理的志愿填报和升学规划。需要注意的是,赋分成绩的计算是基于全省排名的,因此每年的赋分对照表都会有所不同,考生和家长在参考历年赋分表时,需要结合当年的实际情况和招生政策进行分析。