2025年贵州高考在6月7日开考,本次实行3+1+2模式,高考科目包括语文、数学、外语、物理、历史、思想政治、化学、生物、地理9门,预计使用新高考二卷,详细高考真题及答案解析请看本文具体内容。

一、2025年贵州高考具体时间
2025年贵州高考时间为6月7日-9日,除语数外使用的是教育部统一出题的试卷外,其余6门科目(物理、历史、思想政治、化学、生物、地理)均使用贵州自主命题试卷,各科目的高考时间如下:
| 2025年贵州高考时间 | ||
|---|---|---|
| 日期 | 时间 | 科目 |
| 6月7日 | 09:00-11:30 | 语文 |
| 15:00-17:00 | 数学 | |
| 6月8日 | 09:00-10:15 | 历史/物理 |
| 15:00-17:00 | 外语 | |
| 6月9日 | 08:30-09:45 | 化学 |
| 11:00-12:15 | 地理 | |
| 14:30-15:45 | 思想政治 | |
| 17:00-18:15 | 生物 | |
二、2025年贵州高考真题及答案解析
1.2025贵州高考语文试卷及答案
2025年贵州高考语文真题及答案在高考结束后会陆续更新,可关注本文,在6月7日11:30后查看本文的更新情况。
2.2025贵州高考数学试卷及答案
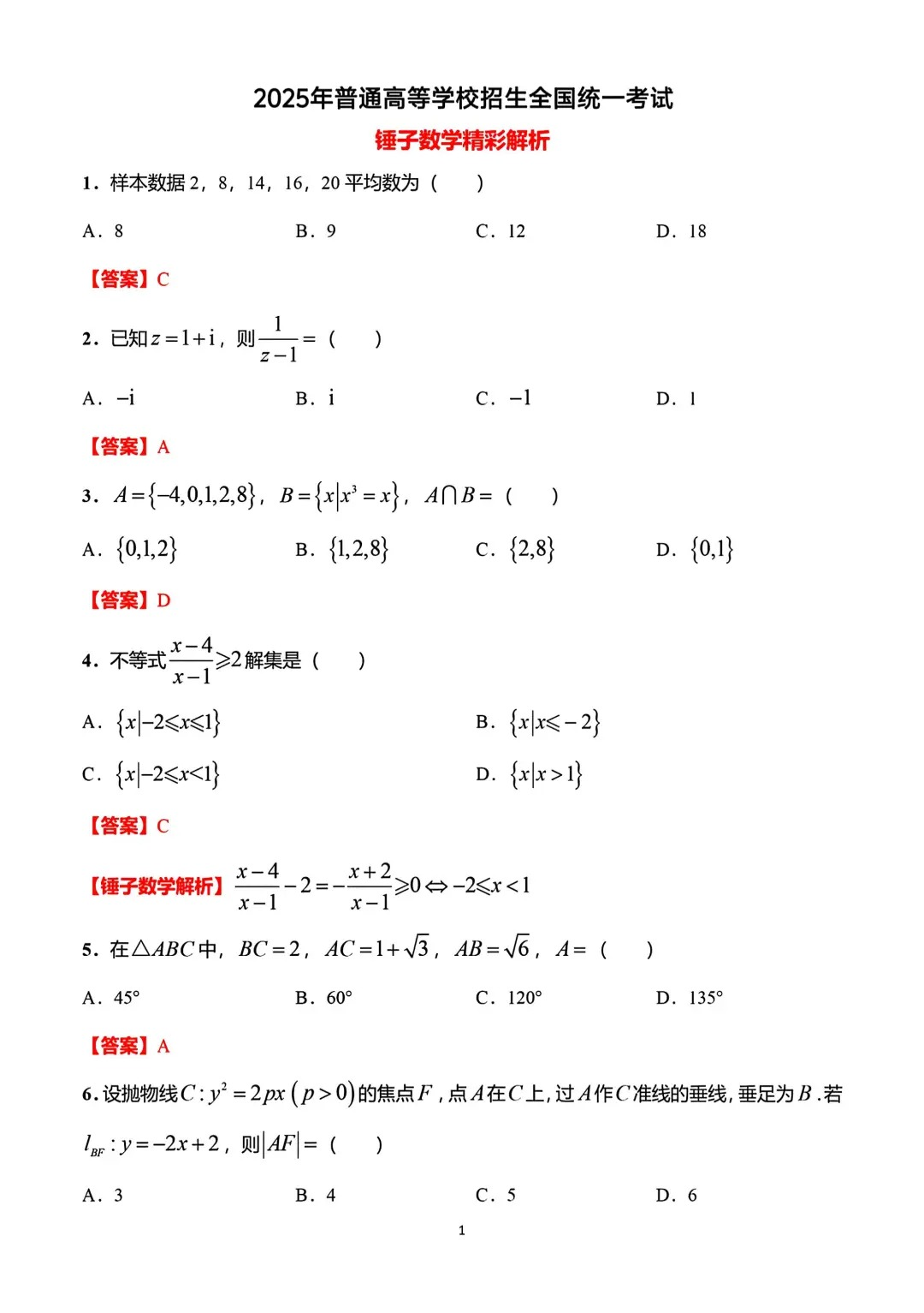
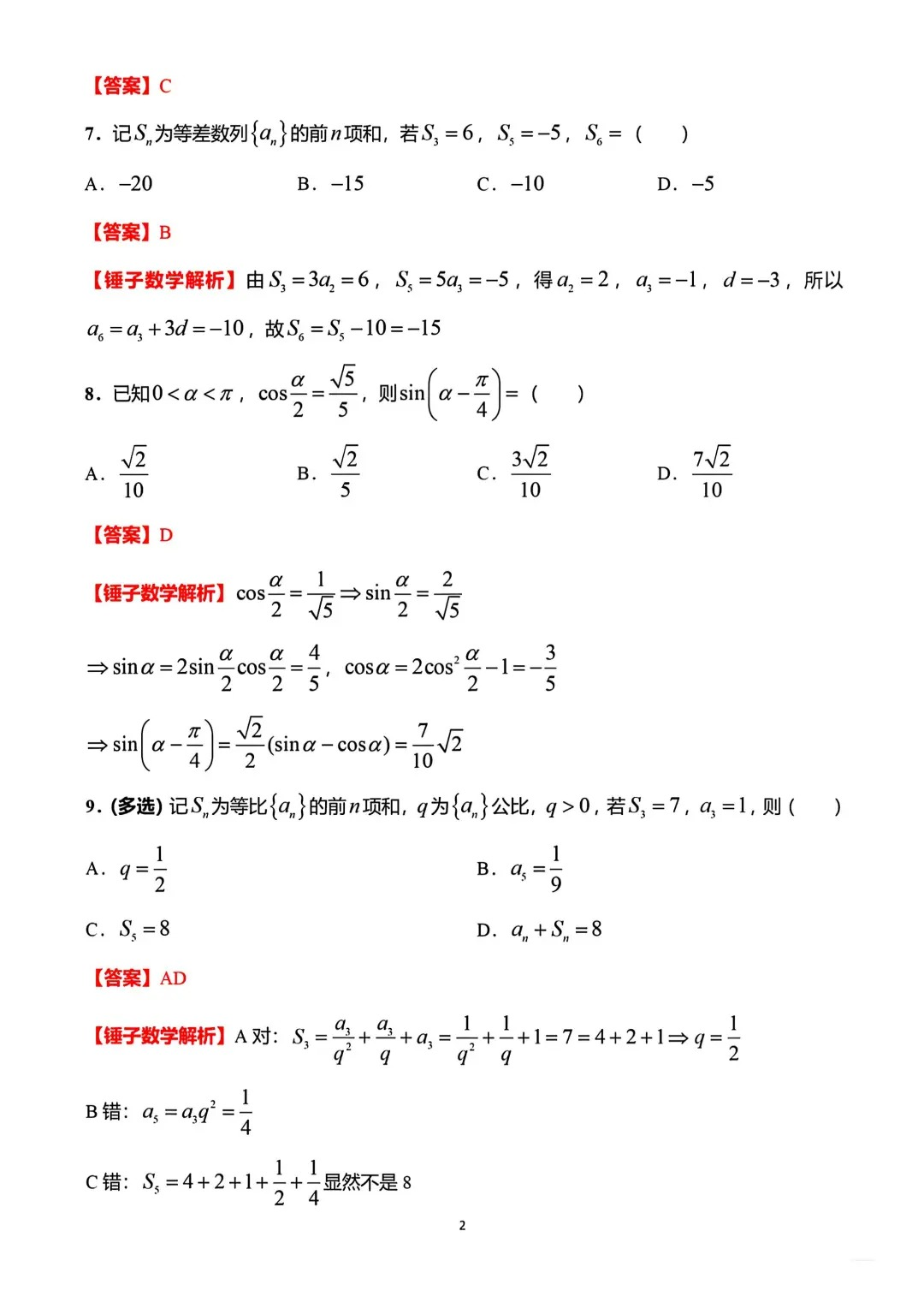
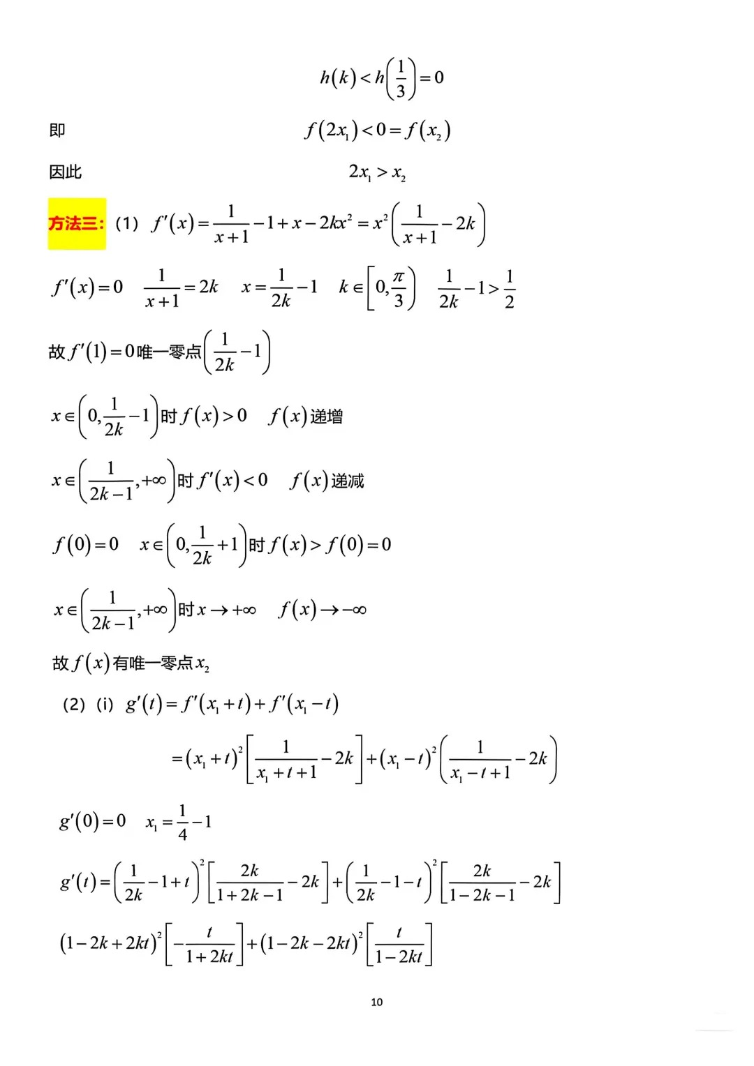
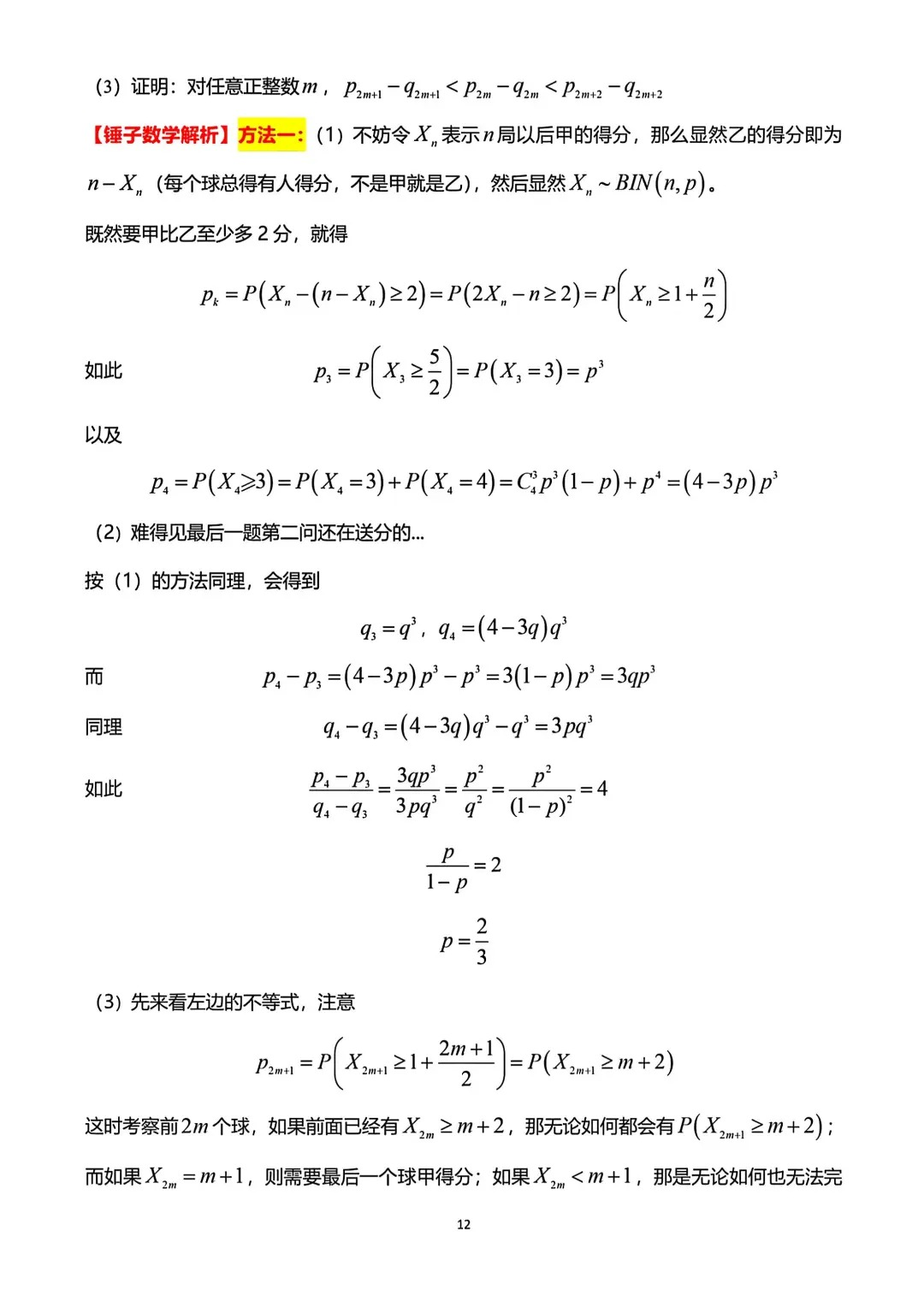
2025年新高考全国二卷数学真题及答案已经公布:














3.2025贵州高考英语试卷及答案
2025年贵州高考英语真题及答案在高考结束后会陆续更新,可关注本文,在6月8日17:00后查看本文的更新情况。
4.2025贵州高考物理试卷及答案
2025年贵州高考物理真题及答案在高考结束后会陆续更新,可关注本文,在6月8日10:15后查看本文的更新情况。
5.2025贵州高考历史试卷及答案
2025年贵州高考历史真题及答案在高考结束后会陆续更新,可关注本文,在6月8日10:15后查看本文的更新情况。
6.2025贵州高考化学试卷及答案
2025年贵州高考化学真题及答案在高考结束后会陆续更新,可关注本文,在6月9日09:45后查看本文的更新情况。
7.2025贵州高考地理试卷及答案
2025年贵州高考地理真题及答案在高考结束后会陆续更新,可关注本文,在6月9日12:15后查看本文的更新情况。
8.2025贵州高考政治试卷及答案
2025年贵州高考政治真题及答案在高考结束后会陆续更新,可关注本文,在6月9日15:45后查看本文的更新情况。
9.2025贵州高考生物试卷及答案
2025年贵州高考生物真题及答案在高考结束后会陆续更新,可关注本文,在6月9日18:15后查看本文的更新情况。