
麦克斯韦方程组
麦克斯韦方程组(英语:Maxwell's equations)是英国物理学家麦克斯韦在19世纪建立的描述电磁场的基本方程组。
它含有四个方程,不仅分别描述了电场和磁场的行为,描述了它们之间的关系。

在麦克斯韦方程组中,电场和磁场已经成为一个不可分割的整体。
该方程组系统而完整地概括了电磁场的基本规律,并预言了电磁波的存在。
麦克斯韦提出的涡旋电场和位移电流假说的核心思想是:
变化的磁场可以激发涡旋电场,变化的电场可以激发涡旋磁场;
电场和磁场不是彼此孤立的,它们相互联系、相互激发组成一个统一的电磁场
(也是电磁波的形成原理)。
麦克斯韦进一步将电场和磁场的所有规律综合起来,建立了完整的电磁场理论体系。
这个电磁场理论体系的核心就是麦克斯韦方程组。
麦克斯韦方程组,是英国物理学家詹姆斯·麦克斯韦在19世纪建立的一组描述电场、磁场与电荷密度、电流密度之间关系的偏微分方程。

从麦克斯韦方程组,可以推论出光波是电磁波。
麦克斯韦方程组和洛伦兹力方程是经典电磁学的基础方程。
从这些基础方程的相关理论,发展出现代的电力科技与电子科技。
麦克斯韦1865年提出的最初形式的方程组由20个等式和20个变量组成。
他在1873年尝试用四元数来表达,但未成功。
现在所使用的数学形式是奥利弗·赫维赛德和约西亚·吉布斯于1884年以矢量分析的形式重新表达的。

麦克斯韦方程组的地位
麦克斯韦方程组在电磁学中的地位,如同牛顿运动定律在力学中的地位一样。
以麦克斯韦方程组为核心的电磁理论,是经典物理学最引以自豪的成就之一。
它所揭示出的电磁相互作用的完美统一,为物理学家树立了这样一种信念:
物质的各种相互作用在更高层次上应该是统一的。
另外,这个理论被广泛地应用到技术领域。

1845年,关于电磁现象的三个最基本的实验定律:
库仑定律(1785年);
安培—毕奥—萨伐尔定律(1820年);
法拉第定律(1831-1845年)已被总结出来;
法拉第的“电力线”和“磁力线”概念已发展成“电磁场概念”。

场概念的产生,也有麦克斯韦的一份功劳,这是当时物理学中一个伟大的创举,因为正是场概念的出现,使当时许多物理学家得以从牛顿“超距观念”的束缚中摆脱出来,普遍地接受了电磁作用和引力作用都是“近距作用”的思想。
1855年至1865年,麦克斯韦在全面地审视了库仑定律、安培—毕奥—萨伐尔定律和法拉第定律的基础上,把数学分析方法带进了电磁学的研究领域,由此导致麦克斯韦电磁理论的诞生。
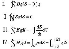
麦克斯韦方程组的积分形式
(1)描述了电场的性质。
电荷是如何产生电场的高斯定理。

(静电场的高斯定理)
电场强度在一封闭曲面上的面积分与封闭曲面所包围的电荷量成正比。
电场E (矢量)通过任一闭曲面的通量,即对该曲面的积分等于4π乘以该曲面所包围的总电荷量。
静电场(见电场)的基本方程之一,它给出了电场强度在任意封闭曲面上的面积分和包围在封闭曲面内的总电量之间的关系。
根据库仑定律可以证明电场强度对任意封闭曲面的通量正比于该封闭曲面内电荷的代数和,
通过任意闭合曲面的电通量等于该闭合曲面所包围的所有电荷量的代数和与电常数之比。
电场强度对任意封闭曲面的通量只取决于该封闭曲面内电荷的代数和,与曲面内电荷的分布情况无关,与封闭曲面外的电荷亦无关。
在真空的情况下,Σq是包围在封闭曲面内的自由电荷的代数和。
当存在介质时,Σq应理解为包围在封闭曲面内的自由电荷和极化电荷的总和。
在静电场中,由于自然界中存在着独立的电荷,所以电场线有起点和终点,只要闭合面内有净余的正(或负)电荷,穿过闭合面的电通量就不等于零,即静电场是有源场;
高斯定理反映了静电场是有源场这一特性。
凡是有正电荷的地方,必有电力线发出;凡是有负电荷的地方,必有电力线会聚。
正电荷是电力线的源头,负电荷是电力线的尾闾。
高斯定理是从库仑定律直接导出的,它完全依赖于电荷间作用力的二次方反比律。
把高斯定理应用于处在静电平衡条件下的金属导体,就得到导体内部无净电荷的结论,因而测定导体内部是否有净电荷是检验库仑定律的重要方法。
对于某些对称分布的电场,如均匀带电球的电场,无限大均匀带电面的电场以及无限长均匀带电圆柱的电场,可直接用高斯定理计算它们的电场强度。
电位移对任一面积的能量为电通量,因而电位移亦称电通密度。
(2)描述了变化的磁场激发电场的规律。
磁场是如何产生电场的法拉第电磁感应定律。

(静电场的环路定理)
在没有自由电荷的空间,由变化磁场激发的涡旋电场的电场线是一系列的闭合曲线。
在一般情况下,电场可以是库仑电场也可以是变化磁场激发的感应电场,而感应电场是涡旋场,它的电位移线是闭合的,对封闭曲面的通量无贡献。
麦克斯韦提出的涡旋电场的概念,揭示出变化的磁场可以在空间激发电场,并通过法拉第电磁感应定律得出了二者的关系,上式表明,任何随时间而变化的磁场,都是和涡旋电场联系在一起的。
(3)描述了磁场的性质。
论述了磁单极子的不存在的高斯磁定律

(稳恒磁场的高斯定理)
在磁场中,由于自然界中没有单独的磁极存在,N极和S极是不能分离的,磁感线都是无头无尾的闭合线,所以通过任何闭合面的磁通量必等于零。
由于磁力线总是闭合曲线,因此任何一条进入一个闭合曲面的磁力线必定会从曲面内部出来,否则这条磁力线就不会闭合起来了。如果对于一个闭合曲面,定义向外为正法线的指向,则进入曲面的磁通量为负,出来的磁通量为正,那么就可以得到通过一个闭合曲面的总磁通量为0。
这个规律类似于电场中的高斯定理,因此也称为高斯定理。
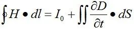
(4)描述了变化的电场激发磁场的规律。
电流和变化的电场是怎样产生磁场的麦克斯韦-安培定律。

(磁场的安培环路定理)
变化的电场产生的磁场和传导电流产生的磁场相同,都是涡旋状的场,磁感线是闭合线。因此,磁场的高斯定理仍适用。
在稳恒磁场中,磁感强度H沿任何闭合路径的线积分,等于这闭合路径所包围的各个电流之代数和。
磁场可以由传导电流激发,也可以由变化电场的位移电流所激发,它们的磁场都是涡旋场,磁感应线都是闭合线,对封闭曲面的通量无贡献。
麦克斯韦提出的位移电流的概念,揭示出变化的电场可以在空间激发磁场,并通过全电流概念的引入,得到了一般形式下的安培环路定理在真空或介质中的表示形式,上式表明,任何随时间而变化的电场,都是和磁场联系在一起的。
合体:

式中H为磁场强度,D为电通量密度,E为电场强度,B为磁通密度。
在采用其他单位制时,方程中有些项将出现一常数因子,如光速c等。
上面四个方程组成:
描述电荷如何产生电场的高斯定律、
描述时变磁场如何产生电场的法拉第感应定律、
论述磁单极子不存在的高斯磁定律、
描述电流和时变电场怎样产生磁场的麦克斯韦-安培定律。
综合上述可知,变化的电场和变化的磁场彼此不是孤立的,它们永远密切地联系在一起,相互激发,组成一个统一的电磁场的整体。
这就是麦克斯韦电磁场理论的基本概念。
麦克斯韦方程组的积分形式反映了空间某区域的电磁场量(D、E、B、H)和场源(电荷q、电流I)之间的关系。
麦克斯韦方程组微分形式:

式中J为电流密度,,ρ为电荷密度。
H为磁场强度,D为电通量密度,E为电场强度,B为磁通密度。
上图分别表示为:
(1)磁场强度的旋度(全电流定律)等于该点处传导电流密度 与位移电流密度 的矢量和;
(2)电场强度的旋度(法拉第电磁感应定律)等于该点处磁感强度变化率的负值;
(3)磁感强度的散度处处等于零 (磁通连续性原理) 。
(4)电位移的散度等于该点处自由电荷的体密度 (高斯定理) 。
在电磁场的实际应用中,经常要知道空间逐点的电磁场量和电荷、电流之间的关系。
从数学形式上,就是将麦克斯韦方程组的积分形式化为微分形式。

上面的微分形式分别表示:
(1)电位移的散度等于该点处自由电荷的体密度 (高斯定理) 。
(2)磁感强度的散度处处等于零 (磁通连续性原理) 。
(3)电场强度的旋度(法拉第电磁感应定律)等于该点处磁感强度变化率的负值;
(4)磁场强度的旋度(全电流定律)等于该点处传导电流密度 与位移电流密度 的矢量和;
利用矢量分析方法,可得:
(1)在不同的惯性参照系中,麦克斯韦方程有同样的形式。
(2) 应用麦克斯韦方程组解决实际问题,还要考虑介质对电磁场的影响。
例如在各向同性介质中,电磁场量与介质特性量有下列关系:
在非均匀介质中,还要考虑电磁场量在界面上的边值关系。
在利用t=0时场量的初值条件,原则上可以求出任一时刻空间任一点的电磁场,即E(x,y,z,t)和B(x,y,z,t)。

科学意义
经典场论是19世纪后期麦克斯韦在总结电磁学三大实验定律,并把它与力学模型进行类比的基础上创立起来的。
但麦克斯韦的主要功绩恰恰是他能够跳出经典力学框架的束缚:
在物理上以"场"而不是以"力"作为基本的研究对象,在数学上引入了有别于经典数学的矢量偏微分运算符。
这两条是发现电磁波方程的基础。
这就是说,实际上麦克斯韦的工作已经冲破经典物理学和经典数学的框架,只是由于当时的历史条件,人们仍然只能从牛顿的经典数学和力学的框架去理解电磁场理论。

现代数学,Hilbert空间中的数学分析是在19世纪与20世纪之交的时候才出现的。
而量子力学的物质波的概念则在更晚的时候才被发现,特别是对于现代数学与量子物理学之间的不可分割的数理逻辑联系至今也还没有完全被人们所理解和接受。
从麦克斯韦建立电磁场理论到现在,人们一直以欧氏空间中的经典数学作为求解麦克斯韦方程组的基本方法。

我们从麦克斯韦方程组的产生,形式,内容和它的历史过程中可以看到:
第一,物理对象是在更深的层次上发展成为新的公理表达方式而被人类所掌握,所以科学的进步不会是在既定的前提下演进的,一种新的具有认识意义的公理体系的建立才是科学理论进步的标志。
第二,物理对象与对它的表达方式虽然是不同的东西,但如果不依靠合适的表达方法就无法认识到这个对象的"存在"。
第三,我们正在建立的理论将决定到我们在何种层次的意义上使我们的对象成为物理事实,这正是现代最前沿的物理学所给我们带来的困惑。
麦克斯韦方程组揭示了电场与磁场相互转化中产生的对称性优美,这种优美以现代数学形式得到充分的表达。
但是,我们一方面应当承认,恰当的数学形式才能充分展示经验方法中看不到的整体性(电磁对称性),但另一方面,我们也不应当忘记,这种对称性的优美是以数学形式反映出来的电磁场的统一本质。
因此我们应当认识到应在数学的表达方式中"发现"或"看出" 了这种对称性,而不是从物理数学公式中直接推演出这种本质。