南京师范大学有仙林、随园、紫金等校区。南京师范大学是位于南京市的211,双一流大学,本期高考100小编将介绍南京师范大学校区地址情况,南师大招生专业名单。
南京师范大学加上本部,共计有3个校区:
1、仙林校区:江苏省南京市栖霞区仙林大学城文苑路1号
2、随园校区:江苏省南京市鼓楼区宁海路122号
3、紫金校区:江苏省南京市玄武区板仓街78号
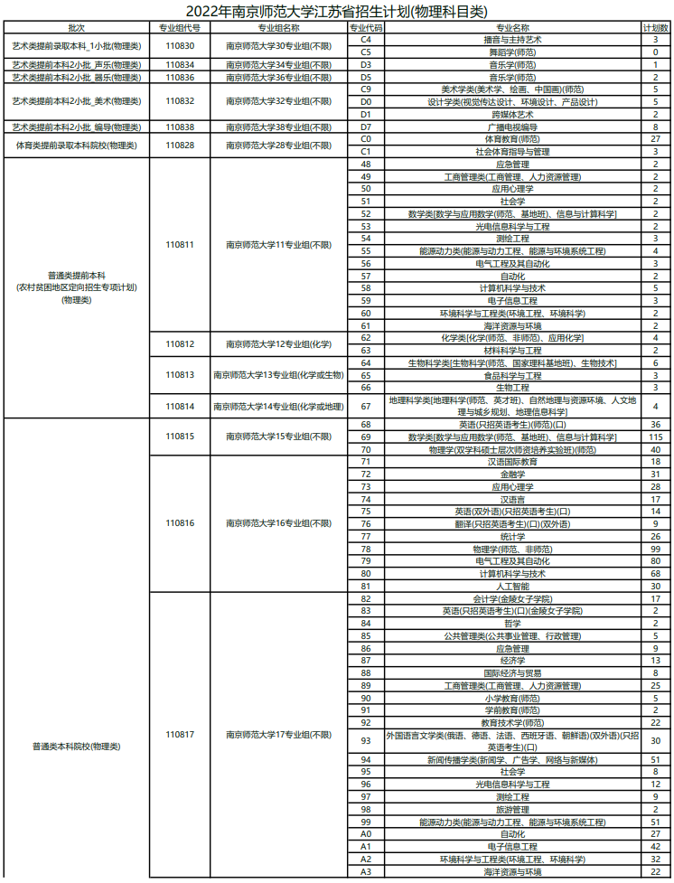
南京师范大学在全国不同地区的招生专业会有差异,高考100小编将介绍南京师范大学在江苏省的招生专业。
南师大招收历史类考生的专业有播音与主持艺术、舞蹈学(师范)、小学教育(师范)、学前教育(师范)、应用心理学、社会学、旅游管理、法学、马克思主义理论等。
南师大招收物理类考生的专业有光电信息科学与工程、测绘工程、能源与动力工程、能源与环境系统工程、电气工程及其自动化、自动化、计算机科学与技术、电子信息工程等。




