2024年新疆高考时间为6月7日-9日,考试科目包括语文、数学、外语、文综、理综、民族语文,本文将收集汇总新疆2024年高考各科试卷真题及答案解析,以供同学们查阅核对,评估分数。

一、2024新疆高考安排
2024年新疆高考依旧采用传统高考模式,语数外以及文/理综试题均由教育部统一命制,主科目前使用的高考试卷是新高考II卷。
下面附上各科高考具体时间安排:

二、2024新疆高考各科真题及答案解析
1、2024新疆高考语文真题及答案
(1)作文题目

(其余试题及答案正在收集中,请耐心等待。)
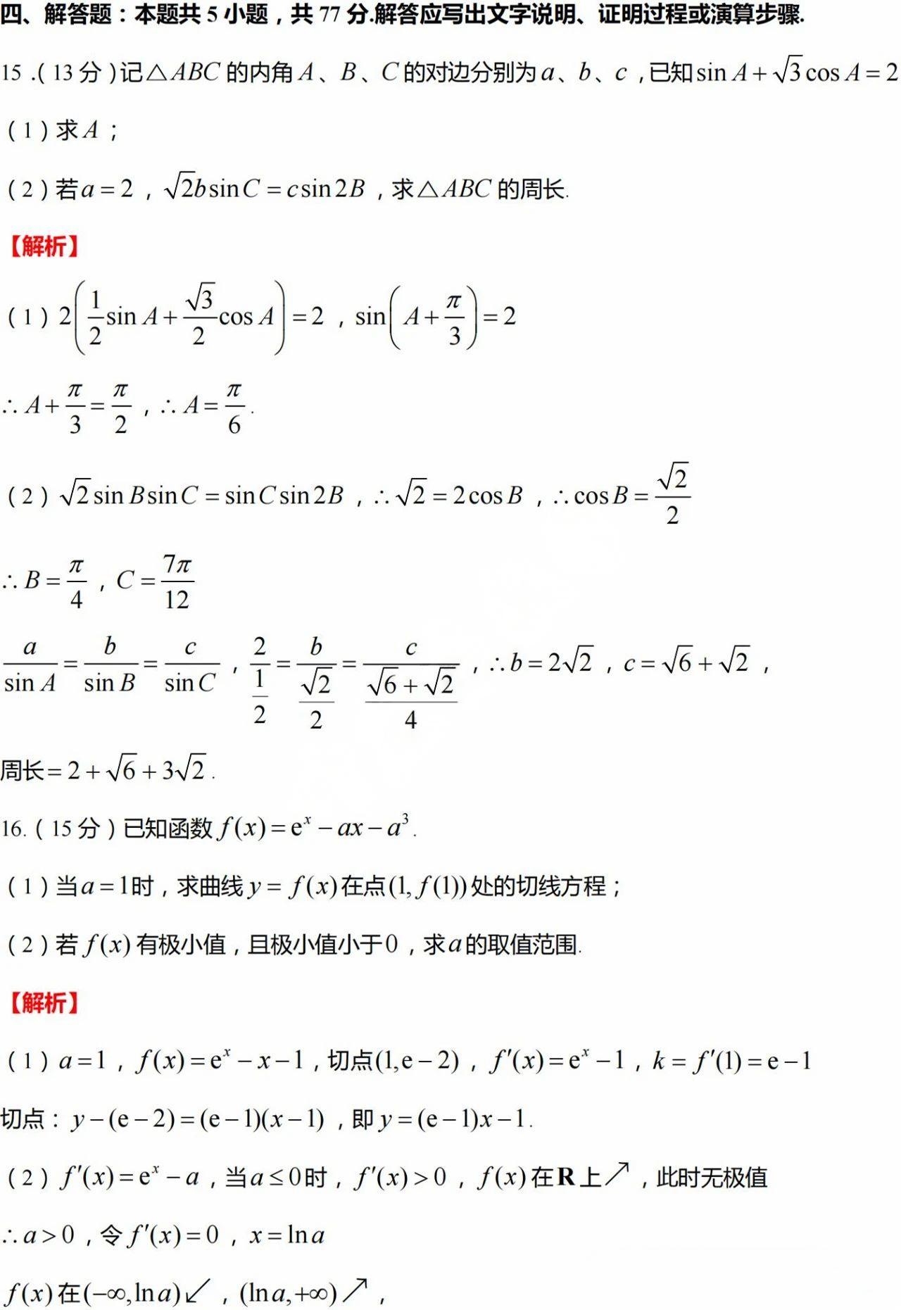
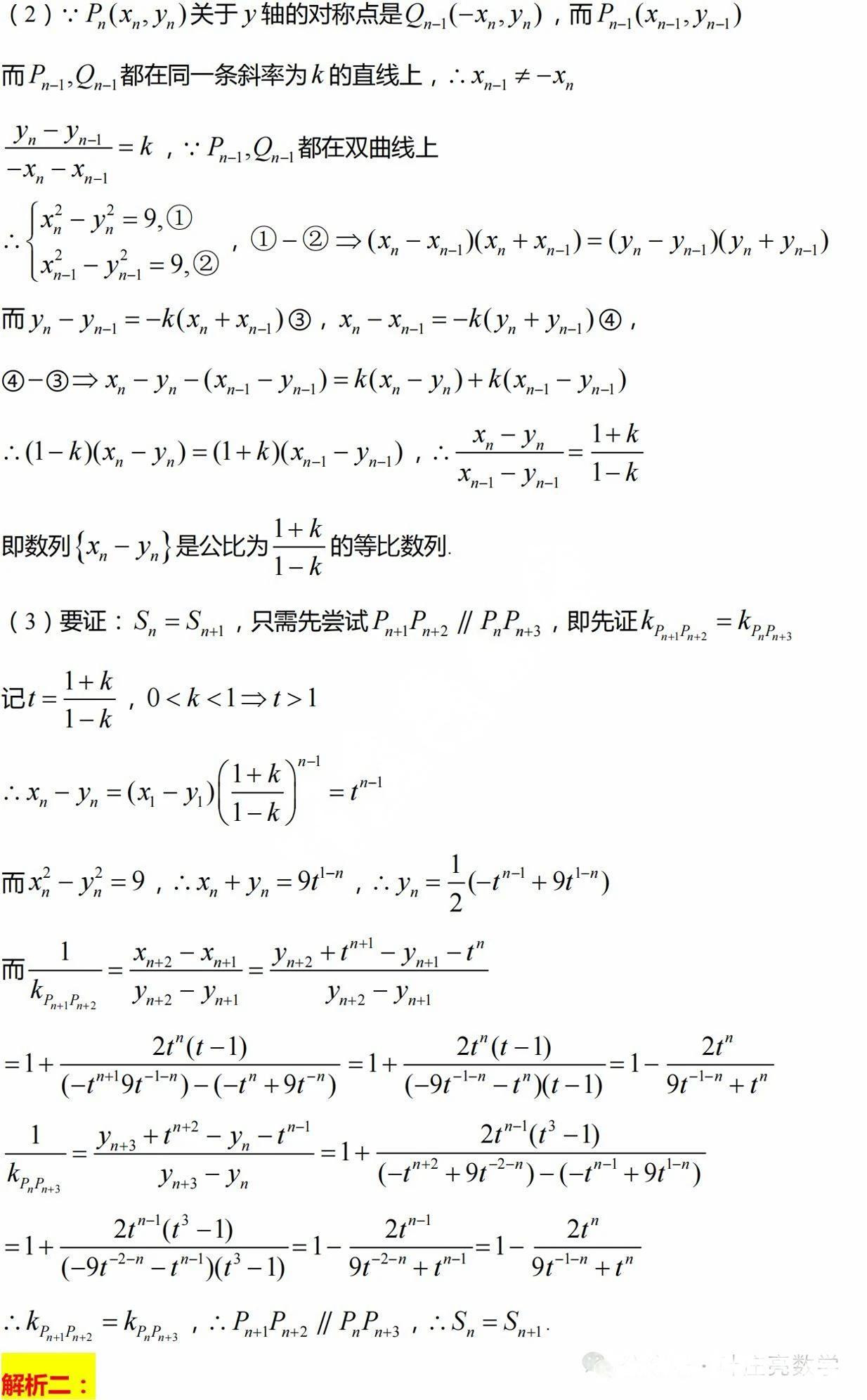
2、2024新疆高考数学真题及答案














3、2024新疆高考文综真题及答案
(1)历史试题及答案

















(2)地理试题及答案




(3)政治试题及答案
正在收集中……
4、2024新疆高考理综真题及答案
(1)化学试题及答案




5、2024新疆高考英语真题及答案
(1)作文题目

(其余试题正在收集中,请耐心等待)