高中切比雪夫不等式公式是高一学习的,主要是比较两组数积的和及两组数的线性和的积的大小。切比雪夫不等式是19世界俄国数学家切比雪夫在研究规律中,论证并用标准差表达的一个不等式。本期文章将为大家介绍切比雪夫不等式公式及不等式例题,希望同学们能够学会运算。
一、高中切比雪夫不等式公式
1、切比雪夫不等式形式
比较两组数积的和及两组数的线性和的积的大小:

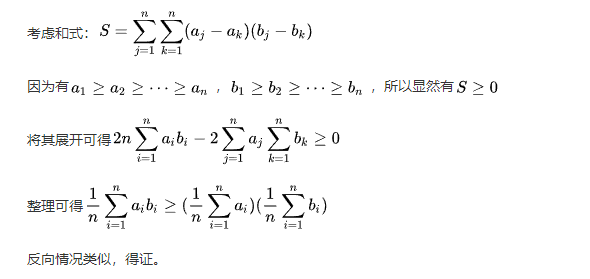
2、切比雪夫不等式证明
证明一:

证明二:

3、切比雪夫不等式积分形式

二、高中切比雪夫不等式例题






杨老师
高中切比雪夫不等式公式是高一学习的,主要是比较两组数积的和及两组数的线性和的积的大小。切比雪夫不等式是19世界俄国数学家切比雪夫在研究规律中,论证并用标准差表达的一个不等式。本期文章将为大家介绍切比雪夫不等式公式及不等式例题,希望同学们能够学会运算。
一、高中切比雪夫不等式公式
1、切比雪夫不等式形式
比较两组数积的和及两组数的线性和的积的大小:

2、切比雪夫不等式证明
证明一:

证明二:

3、切比雪夫不等式积分形式

二、高中切比雪夫不等式例题





