2022年全国高考将在6月7日开考,相信大家都非常想要知道湖南高考化学科目的答案及解析,小编就为大家带来2022年湖南高考化学答案解析及试卷汇总。
2022年湖南高考答案及试卷汇总
一、湖南高考化学真题试卷(考后更新)








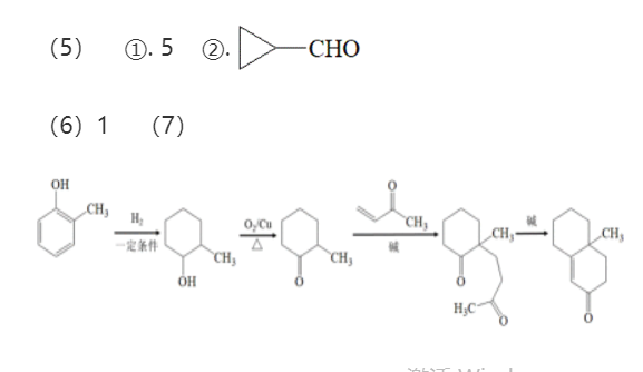
二、湖南高考化学真题答案解析







邓老师
2022年全国高考将在6月7日开考,相信大家都非常想要知道湖南高考化学科目的答案及解析,小编就为大家带来2022年湖南高考化学答案解析及试卷汇总。
2022年湖南高考答案及试卷汇总
一、湖南高考化学真题试卷(考后更新)








二、湖南高考化学真题答案解析






