2022年全国高考将在2022年的6月7日举行,数学是在6月7日的下午举行,同学们结束了数学考试,应该都很想知道数学的参考答案及数学真题。等到数学考试结束,小编将第一时间为大家整理出江苏高考数学参考答案及数学真题汇总。
江苏卷适用地区:江苏
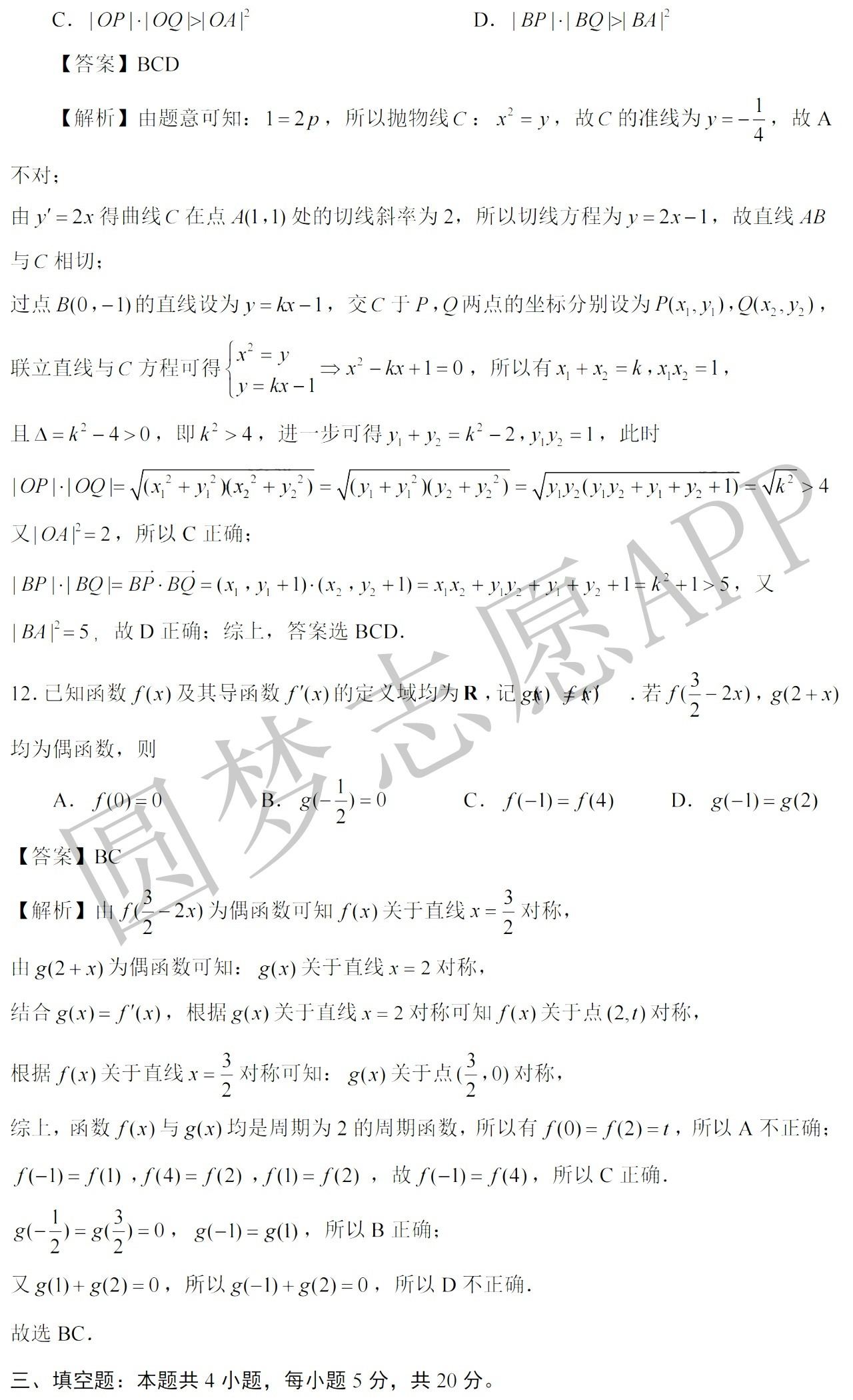
一.2022年江苏高考数学真题




二.2022年江苏高考数学参考答案汇总
















铎老师
2022年全国高考将在2022年的6月7日举行,数学是在6月7日的下午举行,同学们结束了数学考试,应该都很想知道数学的参考答案及数学真题。等到数学考试结束,小编将第一时间为大家整理出江苏高考数学参考答案及数学真题汇总。
江苏卷适用地区:江苏
一.2022年江苏高考数学真题




二.2022年江苏高考数学参考答案汇总















