本期为大家整理2022河北高考试卷答案相关内容,一起来看看河北高考全国新高考一卷语文数学英语答案,以及河北高考物理、历史、生物、化学、地理、政治试卷及答案,供河北考生对答案估分参考。
2022年河北高考实行3+1+2的新高考模式,其中语文、数学、英语采用的是全国新高考一卷,除河北之外,山东、江苏、广东、湖北、湖南等地也使用相同试卷。河北省自主命题的试卷有物理、历史、化学、政治、生物、地理。
2022河北高考科目时间安排:
语文:6月7日 9:00-11:30
数学:6月7日 15:00-17:00
物理/历史:6月8日 9:00-10:15
外语:6月8日 15:00-17:00
化学:6月9日 8:30-9:45
地理:6月9日 11:00-12:15
思想政治:6月9日 14:30-15:45
生物:6月9日 17:00-18:15
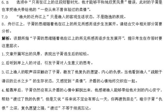
一. 2022全国新高考一卷语文试卷及答案汇总





















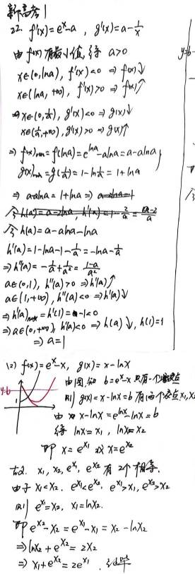
二. 2022全国新高考一卷数学试卷及答案汇总











三. 2022全国新高考一卷英语试卷及答案汇总
















四. 2022河北高考物理试卷及答案汇总
6月8日我们将为大家第一时间更新,请保持关注。
五. 2022河北高考历史试卷及答案汇总
6月8日我们将为大家第一时间更新,请保持关注。
六. 2022河北高考化学试卷及答案汇总
6月9日我们将为大家第一时间更新,请保持关注。
七. 2022河北高考政治试卷及答案汇总
6月9日我们将为大家第一时间更新,请保持关注。
八. 2022河北高考生物试卷及答案汇总
6月9日我们将为大家第一时间更新,请保持关注。
九. 2022河北高考地理试卷及答案汇总
6月9日我们将为大家第一时间更新,请保持关注。

十. 根据分数查看自己可以上哪些大学