本期为大家整理了山东高考数学答案相关内容,一来看看最新出炉的2022山东高考数学试题及答案具体信息吧!山东数学试卷类型为新高考1卷,除山东外还有江苏、广东、河北等地使用相同试卷。
2022年山东高考数学考试时间为6月7日,其中山东省高考数学试卷与江苏、广东、河北、湖北、湖南、福建相同,均为全国新高考一卷。
一. 2022山东高考数学试题(新高考Ⅰ卷数学试题)
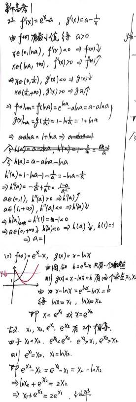
二. 2022山东高考数学答案(新高考Ⅰ卷数学答案)







三. 2021年山东高考数学试卷解析及参考答案










刘奇老师
本期为大家整理了山东高考数学答案相关内容,一来看看最新出炉的2022山东高考数学试题及答案具体信息吧!山东数学试卷类型为新高考1卷,除山东外还有江苏、广东、河北等地使用相同试卷。
2022年山东高考数学考试时间为6月7日,其中山东省高考数学试卷与江苏、广东、河北、湖北、湖南、福建相同,均为全国新高考一卷。
















