2022年高考数学考试已经结束,本期为大家整理2022全国乙卷数学答案理科数学的相关内容,一起来看看全国乙卷数学2022年考试理科数学试卷真题及参考答案解析吧,供大家考试结束后估分、对答案。
一. 全国乙卷理科数学适用省份
2022年使用全国乙卷理科数学试卷的省份有:河南、山西、江西、安徽、甘肃、青海、内蒙古、黑龙江、吉林、宁夏、新疆、陕西,共12省市区。
二. 全国乙卷数学2022理科数学试卷



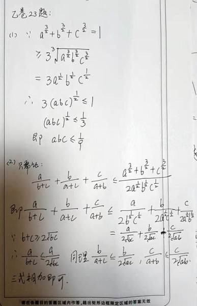
三. 2022全国乙卷数学答案理科数学









刘奇老师
2022年高考数学考试已经结束,本期为大家整理2022全国乙卷数学答案理科数学的相关内容,一起来看看全国乙卷数学2022年考试理科数学试卷真题及参考答案解析吧,供大家考试结束后估分、对答案。
2022年使用全国乙卷理科数学试卷的省份有:河南、山西、江西、安徽、甘肃、青海、内蒙古、黑龙江、吉林、宁夏、新疆、陕西,共12省市区。











