从2022年开始四川普通高中将开始使用新教材,2025年参加高考的学生将面临“3+1+2”高考新模式。作为首届新高考的2022年秋季高一新生,新教材也是大家特别关注的,本期我们就来看看2022四川高一新教材有哪些?同时附上2022年四川新高考教材版本电子版下载!
同时还可以查看圆梦志愿通过大数据分析及云计算处理,为我们科学评估出的分数对应的所有可以报考的院校。
一. 2022四川秋季新高一教材下载
1. 教材类型出版社一览表
来自于家长分享,如有错漏欢迎补充指正!
2. 下载地址
文件较大,建议电脑下载!
二. 四川高考改革政策及选科要求
1. 什么是3+1+2
“3”指的是:语文、数学、外语,这三门科目考试参加统一高考,由教育部考试中心统一命题,以原始成绩计入考生总成绩;
“1”指的是:物理和历史,考生必须从物理和历史两个科目中选择一科,由各省自主命题,以原始成绩计入考生总成绩;
“2”指的是:考生从化学、生物、地理和政治四门科目中选两门,选考由各省命题,通过等级赋分的方式,将赋分后的成绩计入考生总成绩。
考生总成绩由全国统一高考的语文、数学、外语3个科目成绩和考生选择的3科普通高中学业水平选择性考试科目成绩组成,满分为750分。即通常所说的“3+1+2”模式。
为增加考生和院校双向选择机会,考生志愿将采取“专业(类)+学校”的组合方式。
选择考科目理论上有12种组合,具体组合如下:

2. 什么是赋分?
“思想政治、地理、化学、生物学4门科目每科原始成绩为100分,转换后赋分成绩满分依然为100分,赋分起点为30分。”
转换时将各科目考生原始成绩从高到低划分为A、B、C、D、E共5个等级,各等级人数所占比例分别约为15%、35%、35%、13%和2%。
各科目成绩计入考生总成绩时,将A至E等级内的考生原始成绩,按照事先确定的比例,依照转换公式,分别转换到100~86、85~71、70~56、55~41、40~30五个分数区间,得到考生的赋分成绩。转换基数为实际参加该科目选择考的人数。
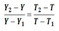
3. 等级转换公式

其中:
Y1、Y2分别表示原始分区间的下限和上限;
T1、T2分别表示转换分区间的下限和上限;
Y表示原始分;
T表示转换分。
考虑到高考分数都以整数呈现,故上述公式的计算结果需要进行“四舍五入”处理。
假设小淘同学政治学科原始分为75分,再假设政治学科B等级原始分区间为【82~61】,则小淘同学政治学科为B等级;
下面进行赋分换算:B等级的赋分区间【85~71】(固定不变),那么小淘同学赋分后分数为:
T≈80.33;四舍五入后小淘同学政治学科最终赋分成绩为80。
三. 更多内容
此外,还可以查看圆梦志愿通过大数据分析和云计算,为大家科学评估出的分数对应的所有可以就读的大学。