手机访问
关注公众号

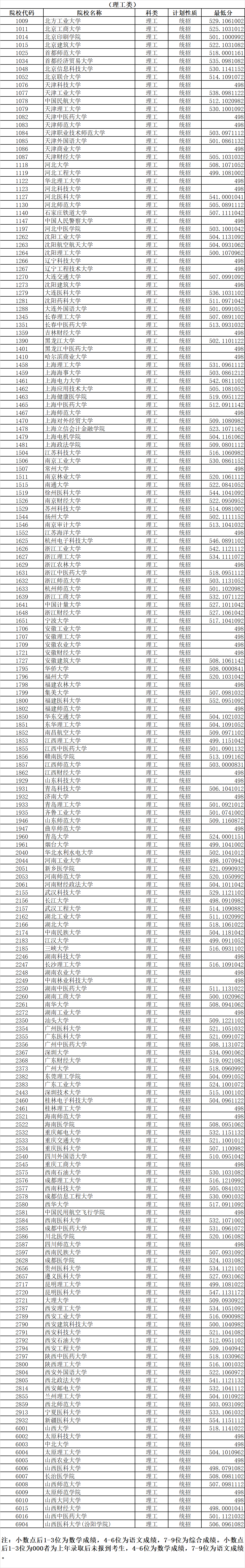
2022年山西高考一本院校分数线-山西第一批本科B类院校投档最低分

李娇老师

2022年山西高考一本院校分数线是多少?山西一本B类大学有哪些?2022年山西一本b类投档线是多少?本文诶大家整理了2022年山西省高校招生第一批本科B类院校名单及投档线,含文史、理工类的最低分。


精选推荐

这8所大学,毕业容易进国企/央企,端上铁饭碗 【速看】报考大学时,冲稳保是什么意思?怎么填报? 【避坑指南】防止被调剂到“不喜欢的专业” 国家公费师范生:报考利弊/招生大学/招生专业/就业前景 6方面入手,快速了解一所大学的档次水平

高考试题

更多 >

微信扫码关注公众号