2022年第39届全国物理复赛获奖名单已公示,那么在本次全国物理复赛名单中,哪些同学上榜?关注高考100即可查看第39届物理竞赛复赛获奖名单最新。本期小编将为大家整理了2022年第39届全国物理复赛获奖名单汇总,供同学们查看。
一、2022第39届物理竞赛复赛获奖名单公示
1、江苏省物理竞赛复赛获奖名单
1)含省队名单
2022年物理复赛江苏省省队共计31人,包含奖励名额4人。其中南京师范大学附属中学11人进入省队,苏州中学6人,天一中学3人,海门中学2人。

2)省一获奖名单
2022年物理复赛江苏省省一共计100人。

2、安徽(实验考试名单)
复赛实验考试定于9月24日举行。

3、山西(实验考试安排)
复赛实验考试定于9月24日举行。

4、福建物理复赛理论考试成绩公布(复查前)(部分)


5、广西物理复赛理论考试部分考生成绩

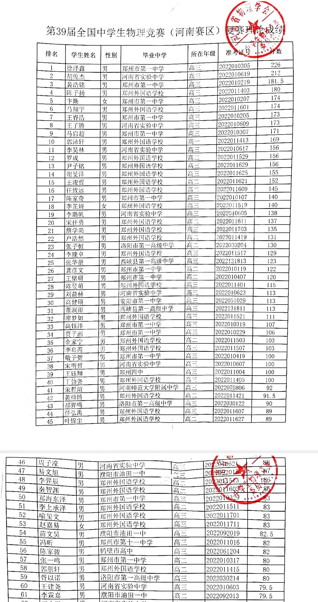
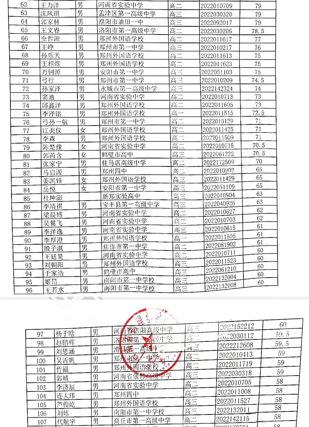
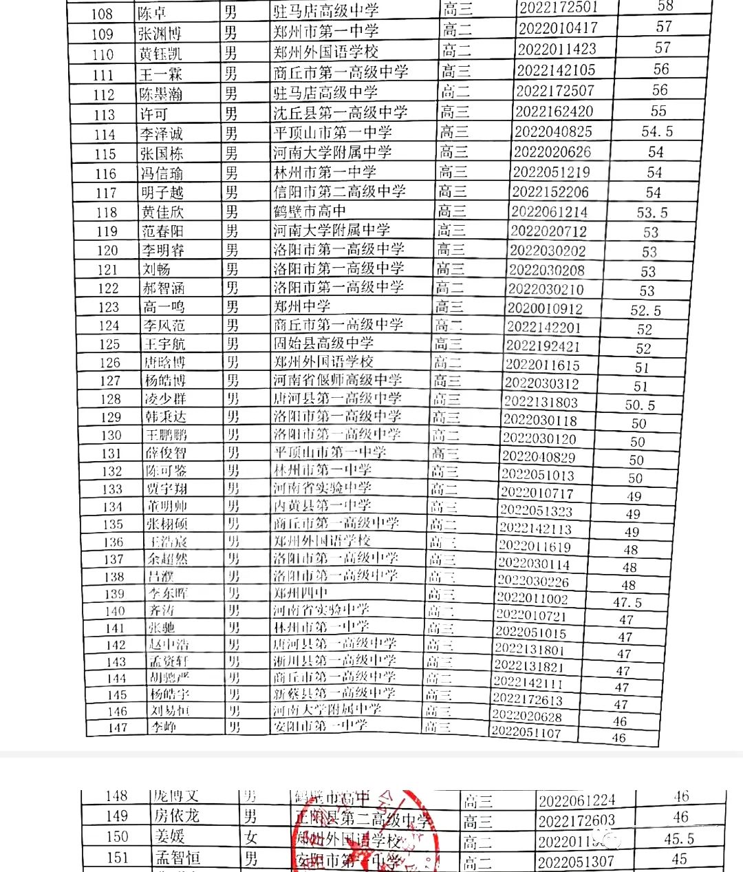
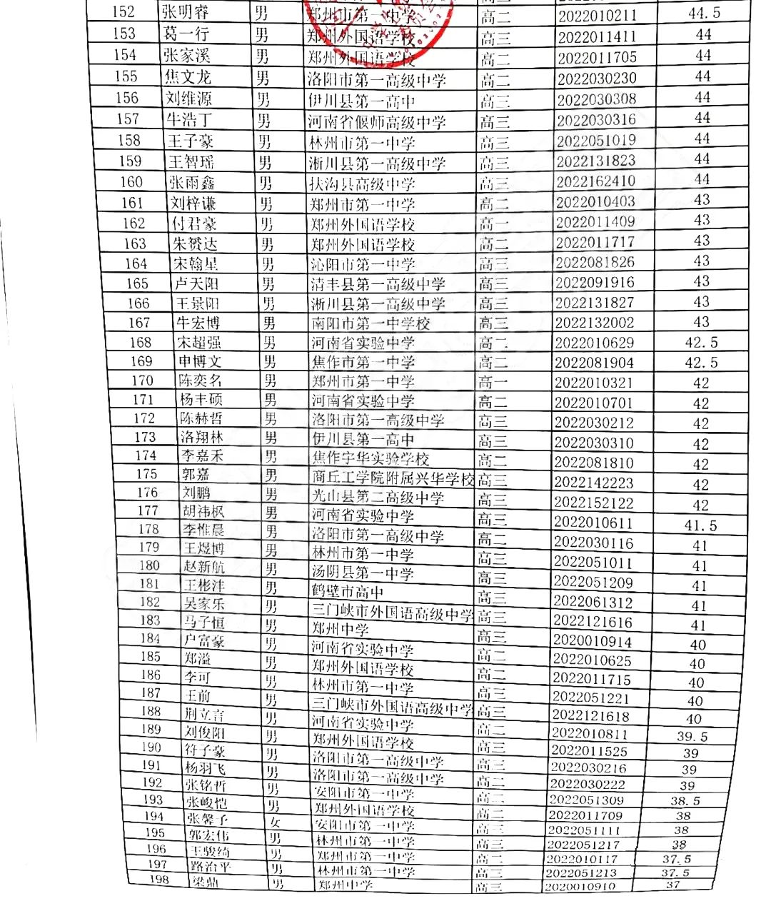
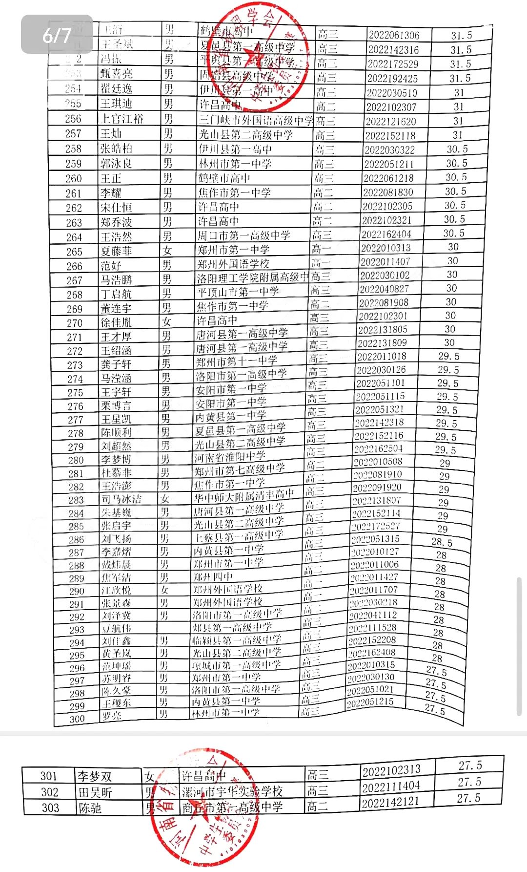
6、河南物理复赛理论考试成绩公布






7、北京物理复赛获奖名单
1)北京省队名单(19人)

2)北京省一名单(66人)



8、浙江省物理复赛获奖名单
1)浙江省队名单(31人)
省队31人!其中,杭州二中、学军中学、学军文渊中学各6人。

2)浙江省一名单(99人)
省一等奖人数99人,杭州49人,占比接近一半。温州37人,占比约38%,宁波6人、金华4人、绍兴2人、衢州1人。




