柯西不等式,包括了二维形式、向量形式、三角形式、积分形式以及一般形式等,本文为大家整理了柯西不等式定理和形式,同时还包括柯西不等式的应用技巧等,具体为若a,b,c,d都是实数,则:当且仅当时,ad=bc时等号成立。
一、二维形式的柯西不等式
定理1:(二维形式的柯西不等式)
若a,b,c,d都是实数,则:,当且仅当时,ad=bc时等号成立。
定理2:(柯西不等式的向量形式)
设
定理3:(二维形式的三角不等式)
设x1,y1,x2,y2∈R,那么

在定理3中,用x1−x3代x1,用y1−y3代y1,用x2−x3代x2,用y2−y3代y2可得平面三角不等式:

二、一般形式的柯西不等式
定理:(一般形式的柯西不等式)
设a1,a2,a3,⋯,an,b1,b2,b3,⋯,bn是实数,则
,当且仅当bi=0(i=1,2,⋯,n)或存在一个数k,使得ai=kbi(i=1,2,⋯,n)时,等号成立。
柯西不等式的主要应用是证明不等式和求最值,利用柯西不等式证明不等式时,先使用拆项、重组、填项等方法技巧构造符合柯西不等式的应用条件,再处理;利用柯西不等式求最值时,一定要注意验证等号成立的条件。
构造符合柯西不等式的形式及条件,可以巧拆常数,可以重新安排各项的次序,可以填项,也可以改变式子的结构。
三、柯西不等式例题
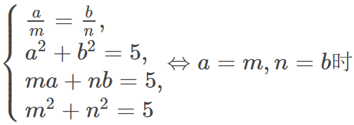
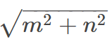
设a,b,m,n∈R,且a2+b2=5,ma+nb=5,则
的最小值为___
A. 根号5、B. 根号6、C. 根号3、D. 根号2
答案:A
解析:因为
,所以由柯西不等式得
于是
当且仅当
,等号成立,所以
的最小值为根号5。
为了方便大家阅读公式图片,本文提供图片版阅读:

