2024年天津高考一分一段表即将公布,大家都很想知道天津高考综合类各分段人数有多少?一分一段表对于志愿填报来说很重要,为方便各位考生家长填报高考志愿,整理2024年天津高考一分一段表综合类汇总。

2024年全国各省份高考一分一段表预计会在6月23日-26日进行公布,一般来说,高考一分一段表会和高考成绩、高考分数线一起发布,但是也有省份高考一分一段表在高考分数线和成绩公布后再发布,具体以各省教育考试院发布的信息为准。
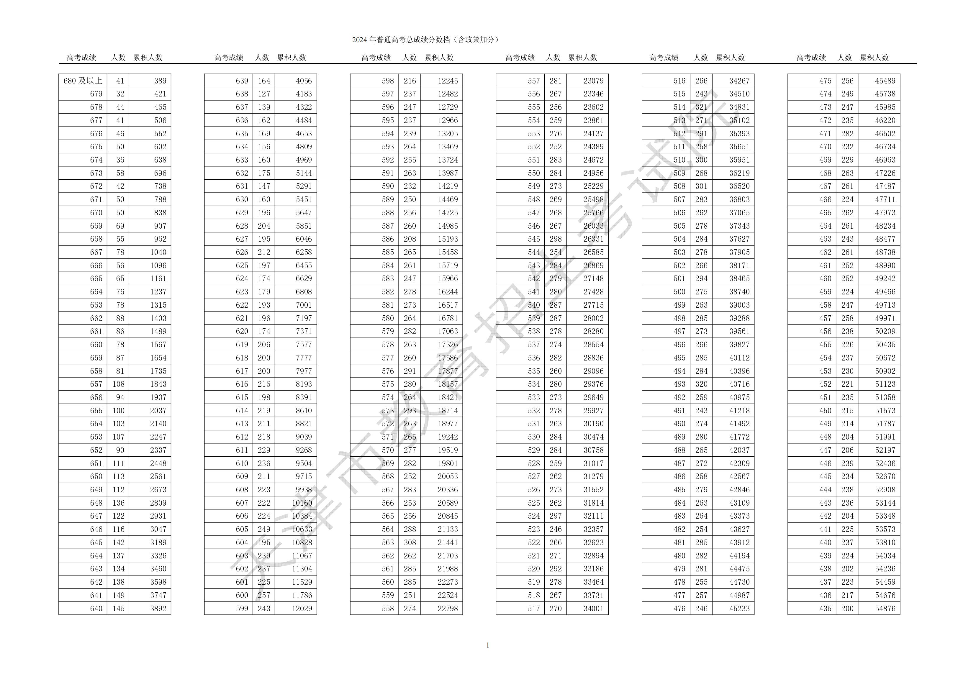
高考一分一段表,即普通高招分数段统计表。所谓“一分一段”,就是以“1分”为单位,统计考得该分数的考生人数和累计人数。在“知分、知线、知位”情况下,考生可以根据目标院校的录取情况、招生计划结合自己的高考成绩及全省排位,科学填报志愿。
值得注意的是,考生和家长一定要从正规渠道获取高考成绩、高考分数线、录取结果等信息。考生在查询成绩及一分一段表时,要尽量错开高峰期,遇到页面崩溃的情况,可以尝试先关闭查分网页,一会再重新查询。
一、2024天津综合类高考一分一段表


二、2024年天津高考录取批次线
经招生委员会研究决定,2024年全国普通高等学校招生天津市各批次录取最低控制分数线如下:
普通本科录取控制分数线:475分
高校特殊类型资格考生最低录取控制参考线为:563分
高考批次录取控制线是各省市招办根据本省考生高考成绩整体水平和招生计划,按照一定的比例确定的投档新生的各科类、各批次最低成绩标准。院校只能录取所在批次线上的考生,只有高考成绩达到或超过批次线的考生(通常称“上线考生”)档案,才有可能被投档到高校,由高校选择录取。