广东定向公费师范生录取分数线2023年是多少?广东省公费师范生有哪些院校?本文为大家整理了2023广东提前批公费师范生录取分数线,含华南师范大学教师专项录取分数线,以及广东免费师范生最新政策。
一起来看看定向公费师范生报考条件是什么吧!

2023年广东公费师范生(教师专项计划)招生院校有10所,包括:华南师范大学、广州大学、广东技术师范大学、广东第二师范学院、岭南师范学院、韩山师范学院、肇庆学院、韶关学院、嘉应学院、惠州学院。
一、2023年广东公费师范生录取分数线
广东2023年高考”教师专项“计划录取已全部结束。今年教师专项计划共录取考生1758人(普通类1151人,艺体类607人),不需要补录。从录取分数来看,广东物理类的考生录取分数线在517-592分之间,位次在27556到115565名之间;历史类的考生需要502-573分之间报考,位次是5614-39500名之间。
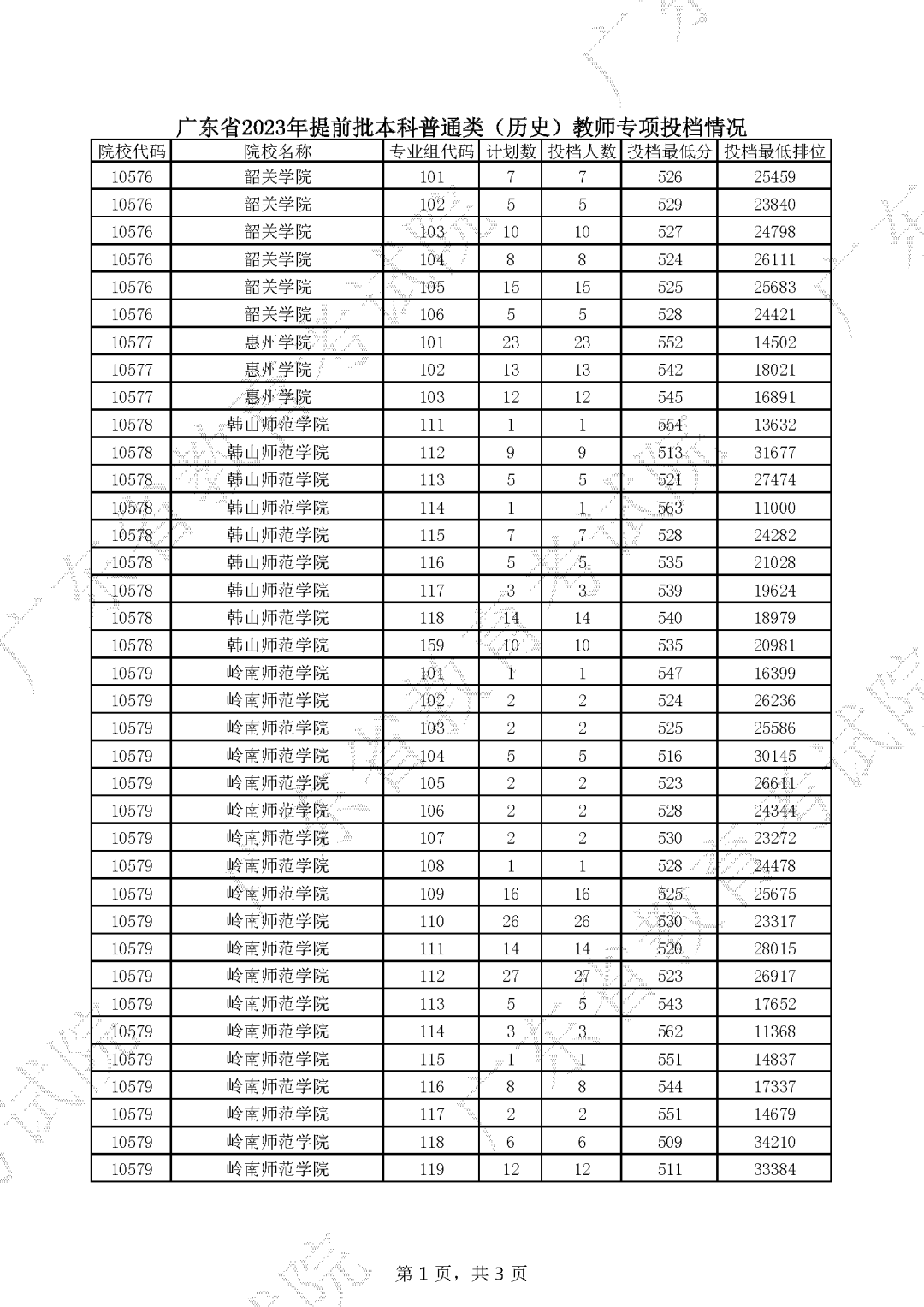
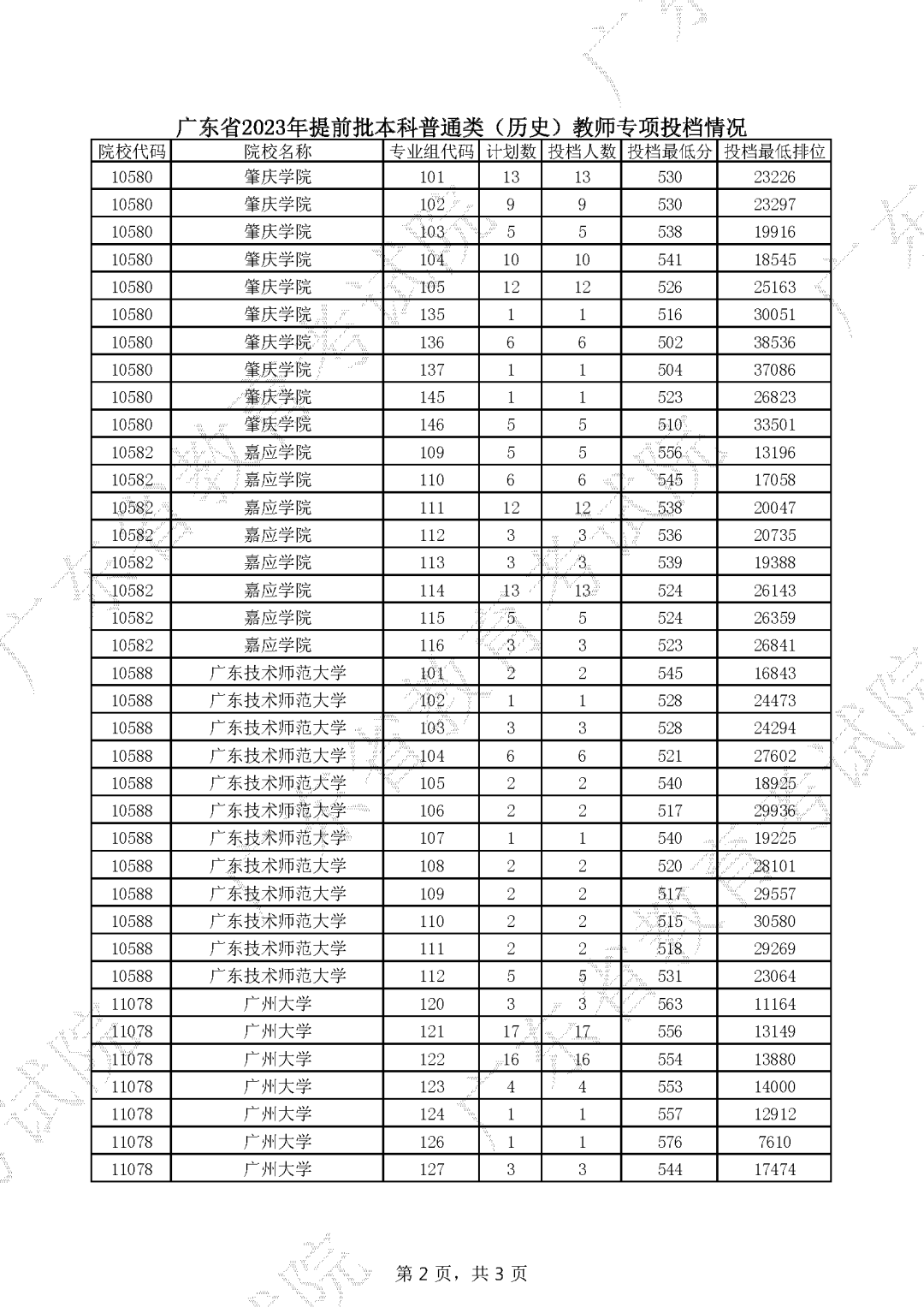
1、广东历史类提前批公费师范生录取分数线
2023年在广东历史类提前批录取分数线最低的公费师范生院校是广东技术师范大学(105专业组),最低投档分数为502分;录取分数线最高的定向公费师范院校是广州大学(127专业组),最低投档分数为573分;值得一提的是广州大学(127专业组)在广东历史的录取分数超过了华南师范大学,而华南师范大学录取分数线最高的专业组在广东历史类收分为560分;
下文为大家整理2023年广东公费师范生录取分数线(历史类):



2、广东物理类提前批公费师范生录取分数线
2023年在广东物理类录取分数线最高的公费师范生院校是广州大学(592分),录取分数最低的院校是韩山师范学院(517分);其他公费师范生院校在广东物理类录取分数线如下:
韩山师范学院(143专业组),录取分数线586分;
华南师范大学(120专业组),录取分数线585分;
肇庆学院(106专业组),录取分数线556分
岭南师范学院(134专业组),录取分数线554分
下文为大家整理2023年广东公费师范生录取分数线(物理类):



二、广东省公费师范生政策
广东省级的公费师范生政策(即教师专项)从2018年开始实施。由于政策照顾幅度大、相关待遇优厚,自推出后便广受关注,报考热度很高
考生被录取后,在校基本修业期内,免除学费、住宿费、军训服装费、教材资料费和实习实践费和发放生活补助费等,并按8000元/生·学年的标准给予生活费补助。
考生入学报到后与学校和培养计划来源地县级政府,签订三方公费定向培养协议书,承诺在校学习不转学、不转专业,且保证毕业后服从计划来源地安排,到定向范围学校(含村小、教学点)任教不少于6年,落实编制。


