弦长公式是高中数学解析几何里非常重要的基础公式,在很多大题里面扮演着重要角色。
并且求弦长的方法,在不同的圆锥曲线里会有不同的方案,如何在题目中做出恰当的选择也是同学们需要格外关注的。
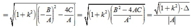
【1】圆锥曲线的通用弦长公式

如果我们用A、B、C分别代表联立方程消元后得到的二次方程的系数,则最后一步可以继续推导下去:

如果我们联立方程消元后目标是以y为主元的二次方程,则弦长公式改写为:

例1:


例2:


【2】圆的弦长公式
在计算圆的弦长公式时,除了可以用通用弦长公式之外,利用初中几何中垂径定理的原理,也可以计算弦长,在圆的问题里面,我们常常更喜欢采用这种方式。

注意:d是圆心到直线AB的距离,在高中数学,我们主要用点到直线距离公式计算。
例3:

【3】抛物线焦点弦的弦长公式
在抛物线里,若直线AB经过抛物线的焦点,那我们经常利用抛物线的定义把点到焦点的距离转化成到准线的距离,这样可以推出来抛物线的焦点弦长公式。

特别注意:该公式只适用于焦点弦,如果AB直线不经过焦点,不能用!不经过焦点,还是老老实实用通用弦长公式。
例4:
