2023广东高考一分一段表即将公布,2023广东高考一分一段表可以通过广东教育考试院进行查询,通过一分一段表,考生可以清楚了解本省某一分值一共有多少人,以及考生在本省的排名情况,本文整理了2023年广东高考录取分数线一览表,并附上广东高考一分一段表,供参考。
一、2023广东高考录取分数线
2023年广东高考本科分数线是历史类433分、物理类439分;
2023年广东高考专科分数线是历史类180分、物理类180分;
2023年广东高考特招分数线是历史类540分、物理类539分;
1、本科院校(含执行本批次最低分数线的提前批非军检本科院校)
(一)本科各科类
普通类(历史):总分433分。
普通类(物理):总分439分。
体育类:文化科总分365分,体育术科203分。
美术类:文化科总分325分,美术术科195分。
音乐类(含音乐学、音乐表演-声乐、音乐表演-器乐):文化科总分325分,音乐术科195分。
舞蹈类:文化科总分310分,舞蹈术科195分。
广播电视编导类:文化科总分405分,广播电视编导术科204分。
书法类:文化科总分350分,书法术科215分。
播音与主持类(含粤语):文化科总分350分,播音与主持术科220分。
艺术类校考:文化科总分310分。
(二)特殊类型招生录取控制线(含强基计划、高水平艺术团、高校专项计划、综合评价)
普通类(历史):总分540分。
普通类(物理):总分539分。
(三)重点高校招收农村和脱贫地区学生(地方专项计划)
普通类(历史):总分510分。
普通类(物理):总分509分。
(四)高水平运动队
普通类(历史):总分457分。
普通类(物理):总分456分。
2、专科院校(含执行本批次最低分数线的提前批专科院校)
普通类(历史):总分180分。
普通类(物理):总分180分。
体育类:文化科总分310分,体育术科195分。
美术类:文化科总分230分,美术术科160分。
音乐类(含音乐学、音乐表演-声乐、音乐表演-器乐):文化科总分230分,音乐术科160分。
舞蹈类:文化科总分210分,舞蹈术科160分。
广播电视编导类:文化科总分310分,广播电视编导术科190分。
书法类:文化科总分310分,书法术科195分。
播音与主持类:文化科总分310分,播音与主持术科210分。
艺术类校考:文化科总分210分。
高考本科、专科录取分数线一般指最低录取控制分数线,只是大学录取新生的最低成绩标准。
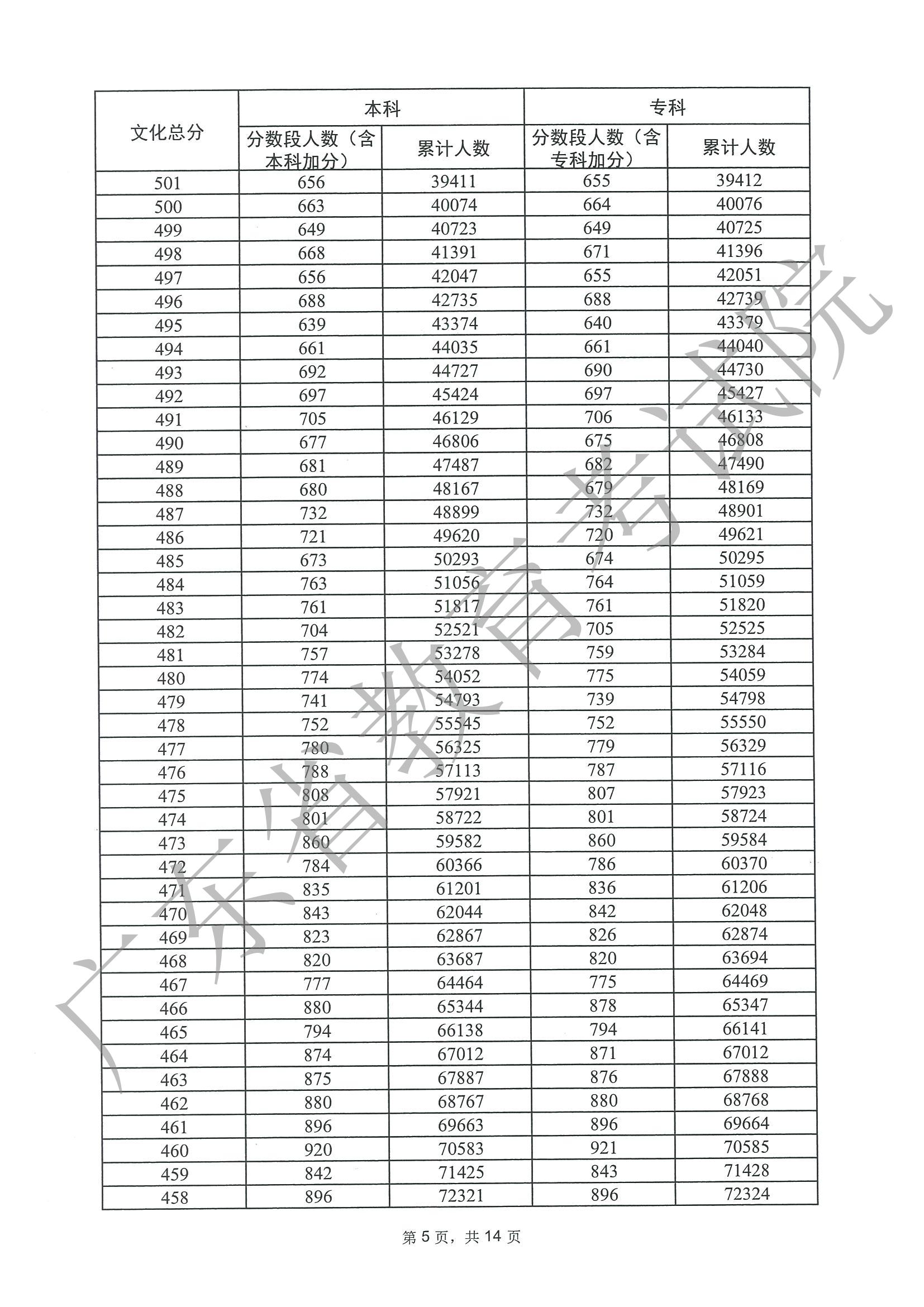
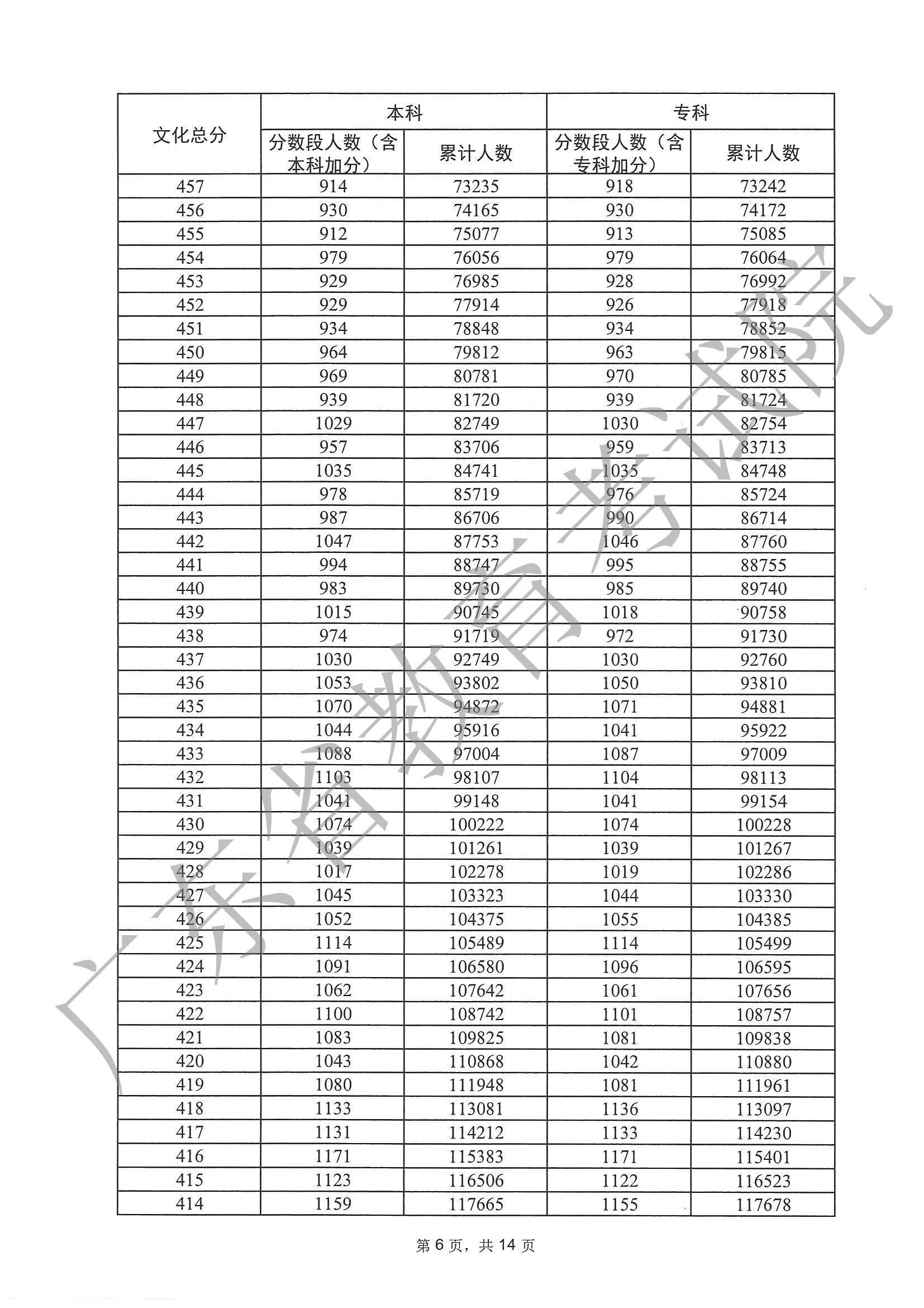
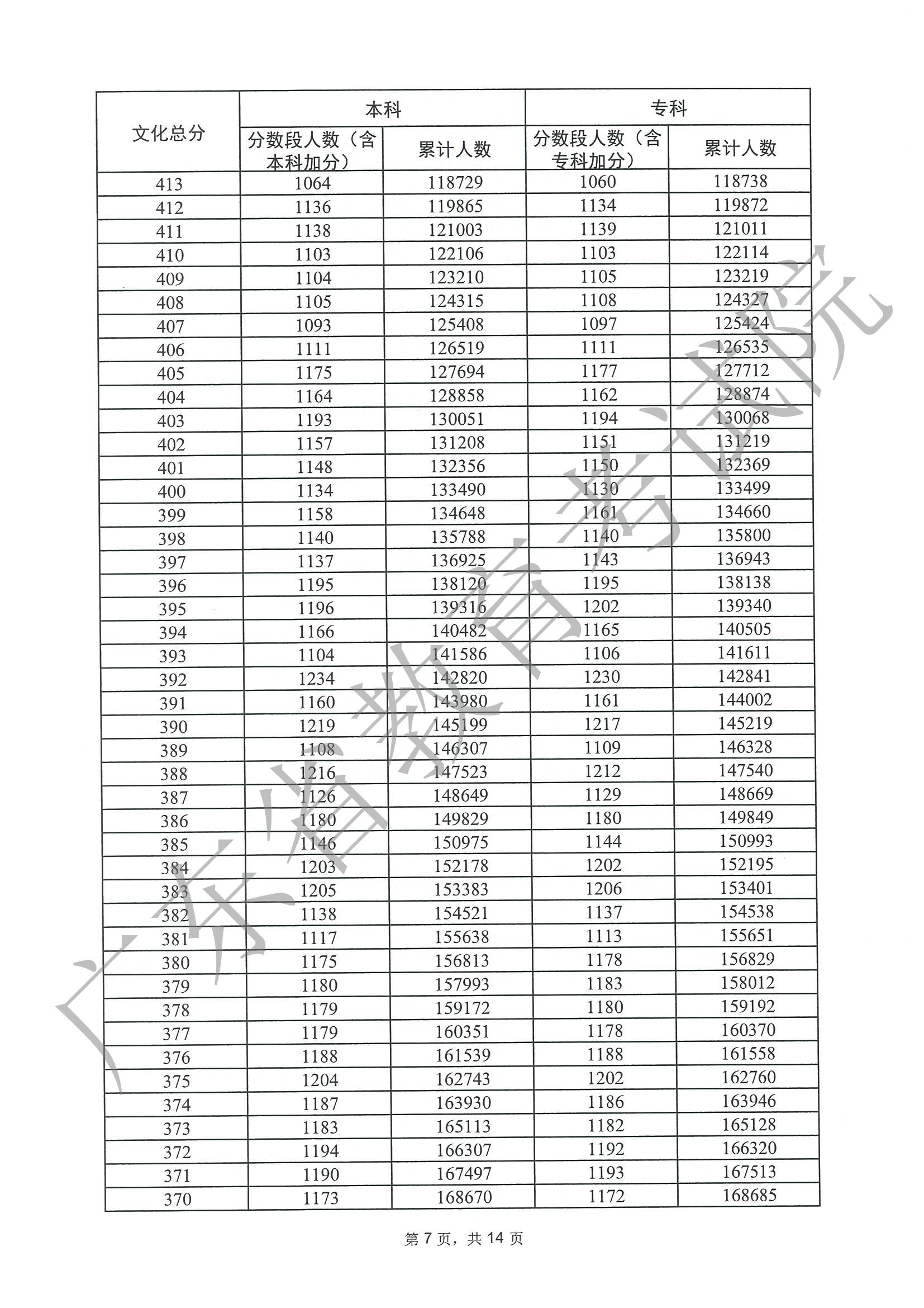
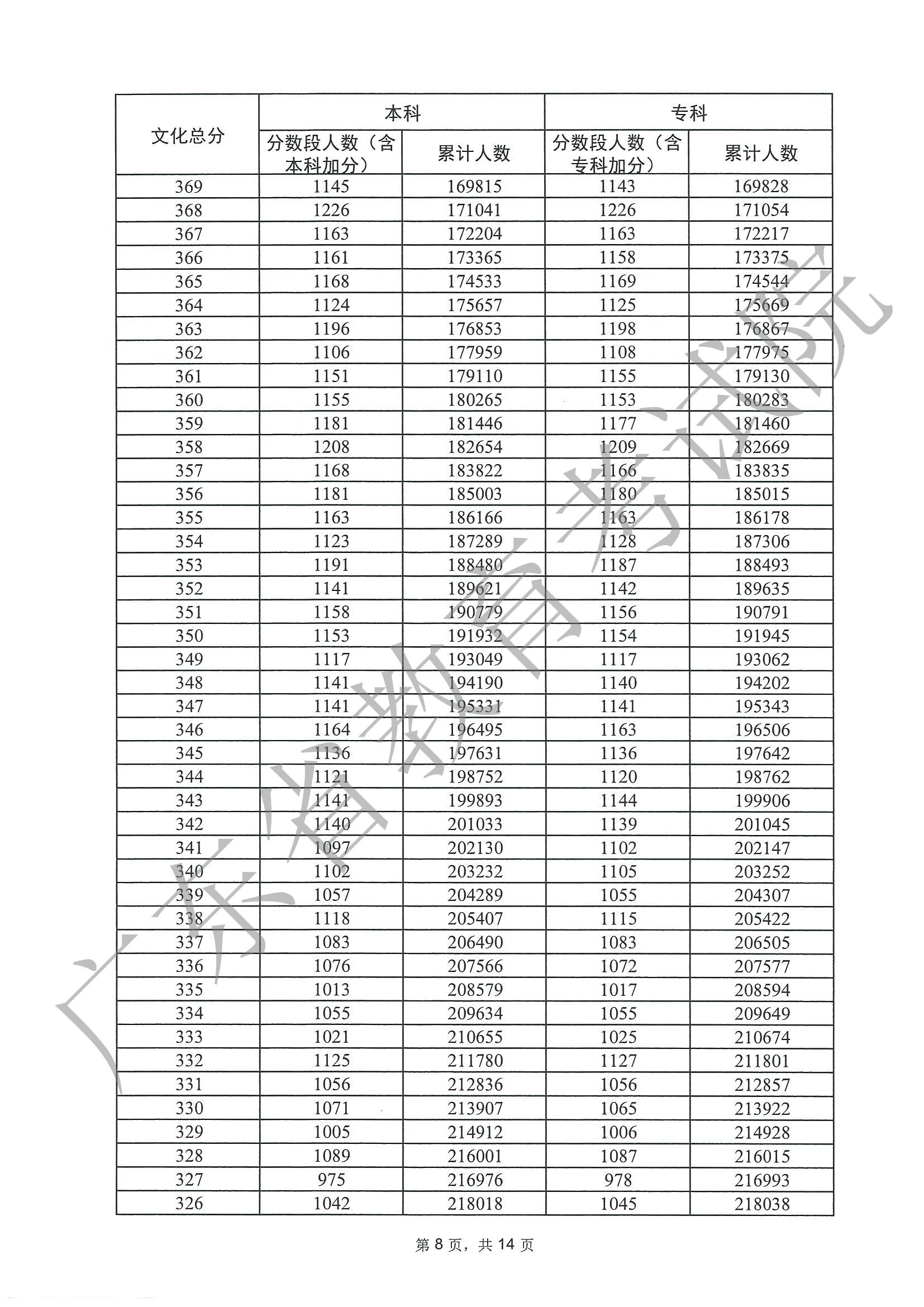
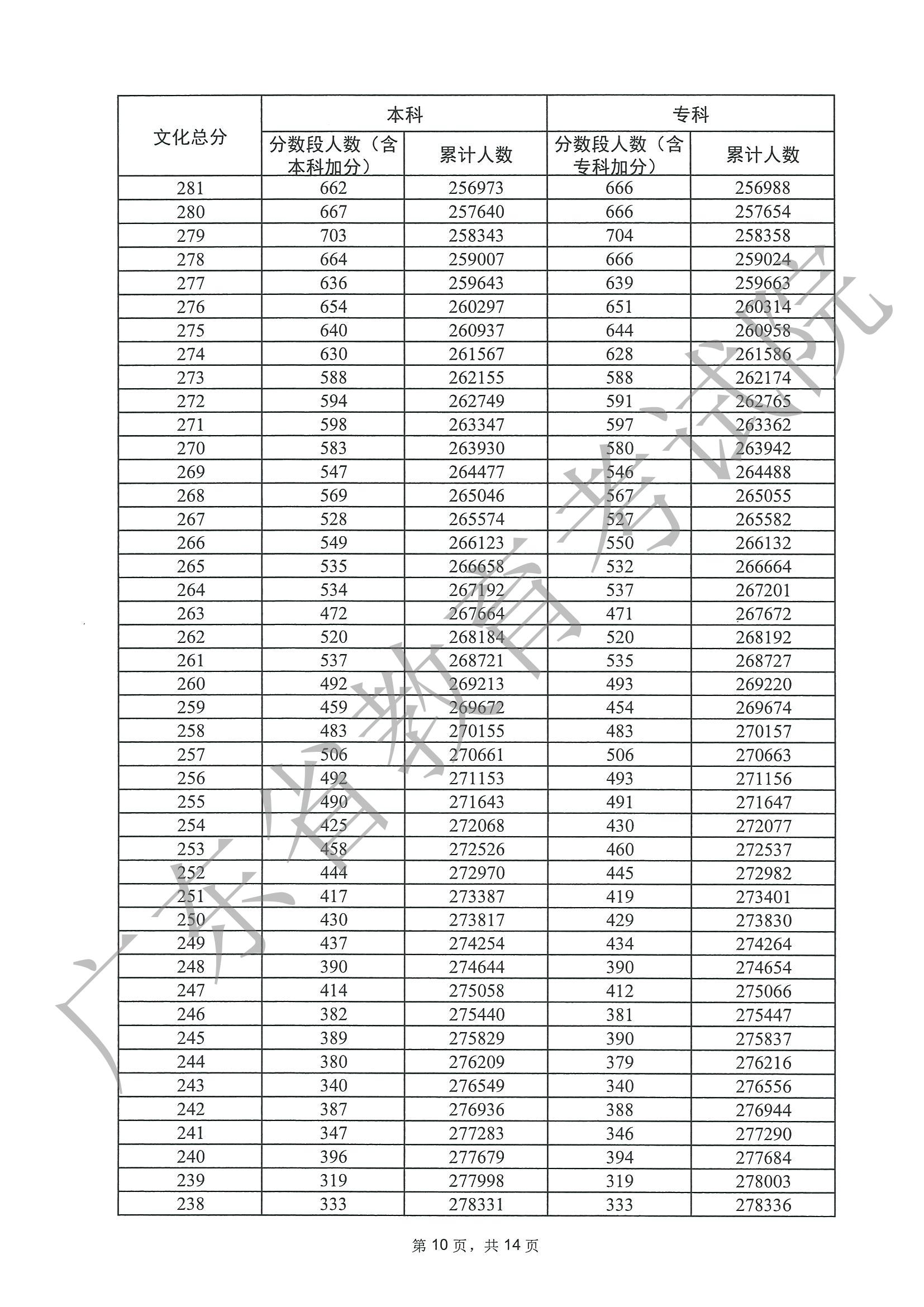
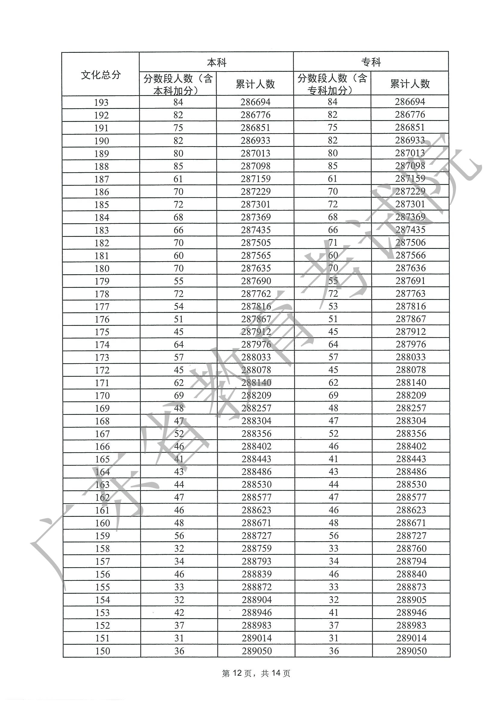
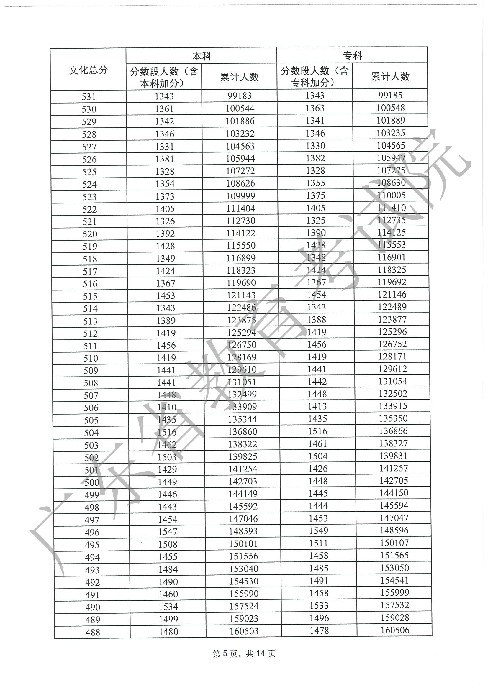
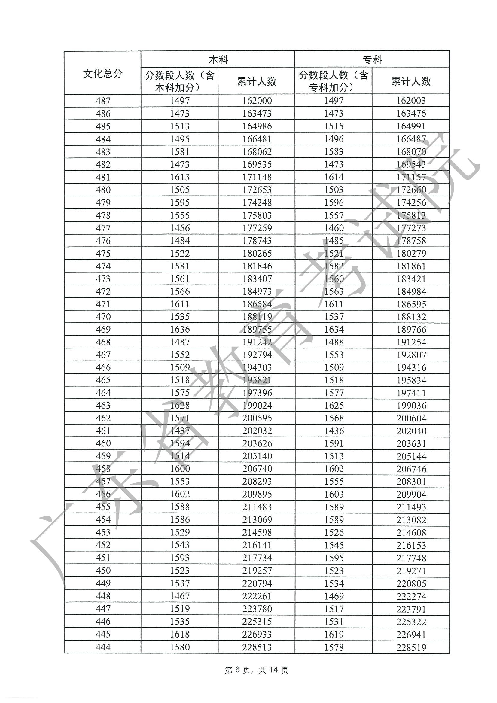
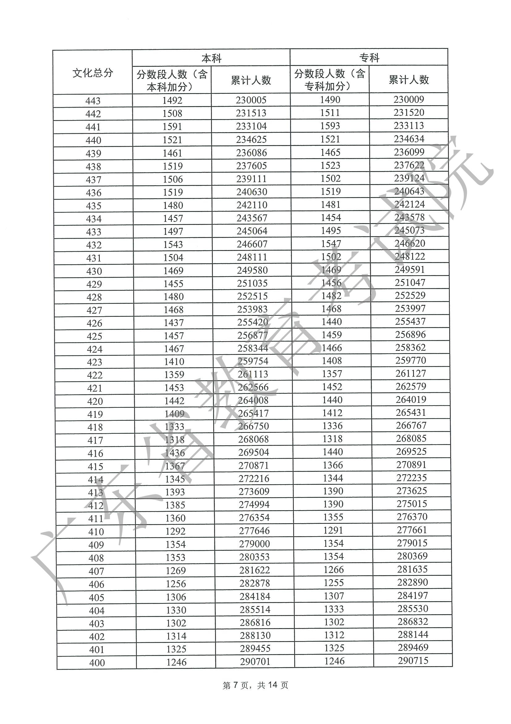
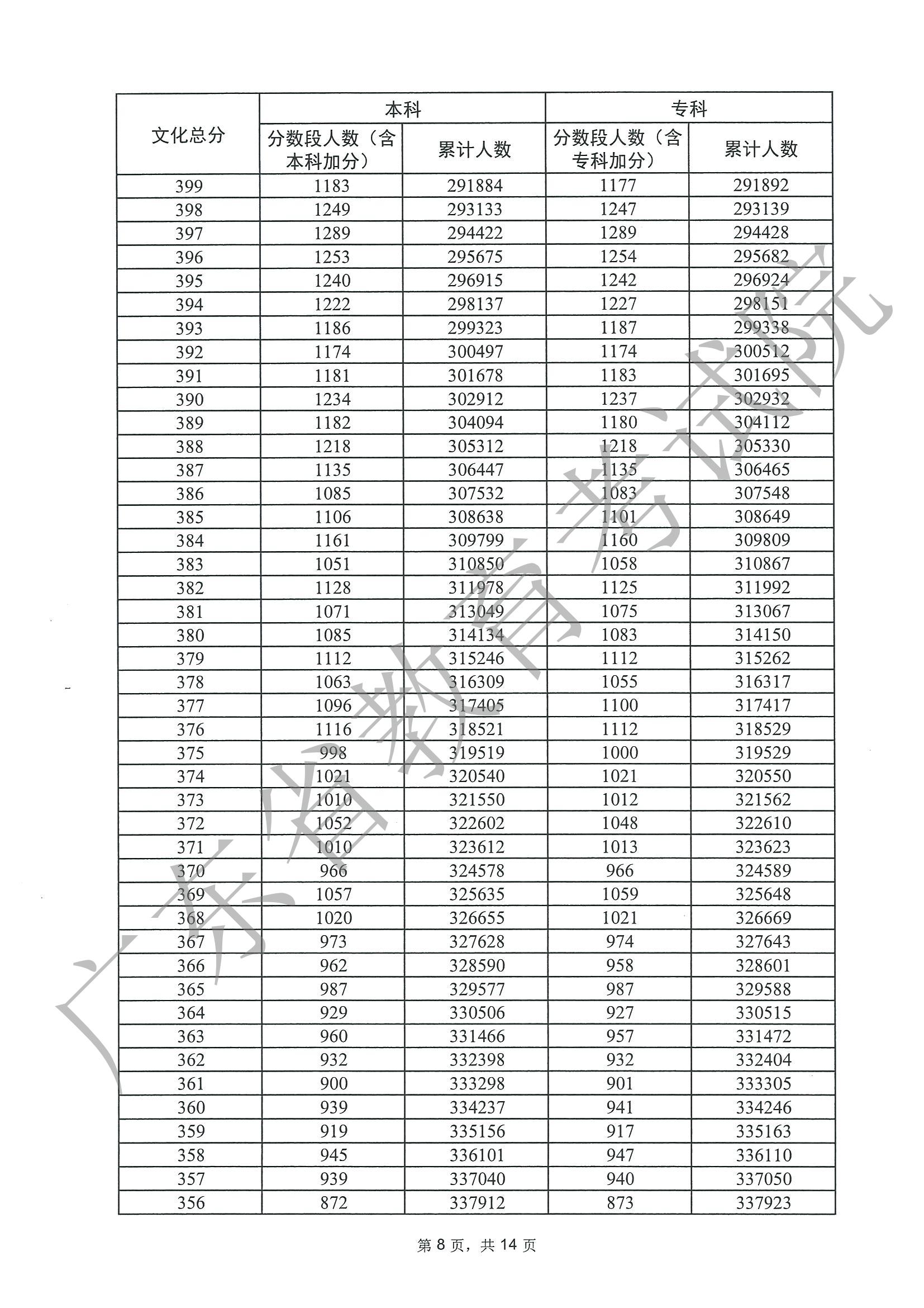
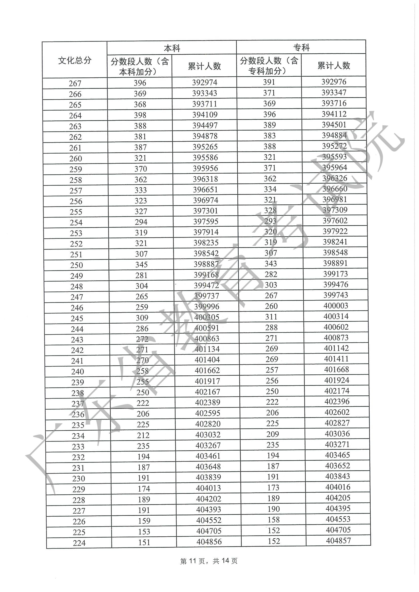
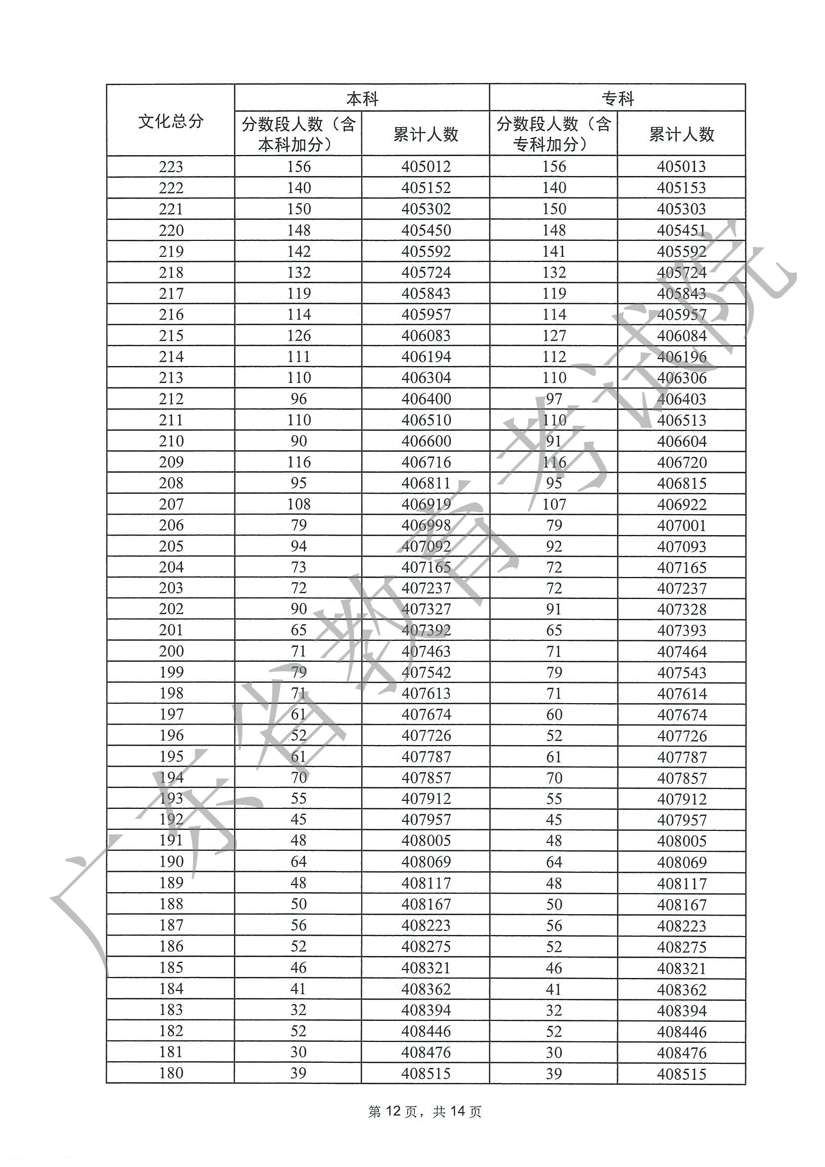
二、2023广东高考一分一段表
一分一段表是指高考人数和分数的统计表,通过一分一段表可以知道本省高考成绩排名情况。本文为大家整理了2023山东高考录取分数线和2023山东高考一分一段表文理科汇总,同学们可通过2023山东省高考成绩排名表查到自己的位次,也能根据位次选择大学。
1、广东历史类高考一分一段表














2、广东物理类高考一分一段表



















